Главная >> Алгебра 9 класс. Макарычев

§ 9. Арифметическая прогрессия

Последовательности (окончание)

Упражнения

560. Выпишите первые несколько членов последовательности натуральных чисел, кратных 3, взятых в порядке возрастания. Укажите ее первый, пятый, десятый, сотый и n-й члены.

561. Известно, что (сn) — последовательность, все члены которой с нечетными номерами равны -1, а с четными равны 0. Выпишите первые восемь членов этой последовательности. Найдите с10, с25, с200, с253, с2k, c2k + 1 (k — произвольное натуральное число).

562. Пусть (аn) — последовательность квадратов натуральных чисел. Выпишите первые десять ее членов. Найдите а20, а40, аn.

563. Какой член последовательности а1, а2, а3, ... :

    а) следует за членом а99, а200, аn, аn + 1, аn + 1, а2n;
    б) предшествует члену а71, а100, аn - 2, аn + 3. а3n?

564. Перечислите члены последовательности (хn), которые расположены между:

    а) x31 и х35; б) хn и хn+6; в)хn - 4 и хn; г) хn - 2 и хn + 2.

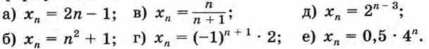
565. Найдите первые шесть членов последовательности, заданной формулой n-го члена:

567. Последовательность (аn) задана формулой аn = n2 - n - 20. Укажите номера отрицательных членов последовательности и вычислите эти члены.

568. Вычислите второй, третий, четвертый и пятый члены последовательности (bn), если известно, что:

    а) первый член равен 10, а каждый следующий на 3 больше предыдущего, т. е. b1 = 10 и bn + 1 = bn + 3;
    б) первый член равен 40, а каждый следующий равен предыдущему, деленному на 2, т. е. b1 = 40 и

569. Выпишите первые пять членов последовательности (аn), если:

570. Выпишите первые четыре члена последовательности (bn), если:

    а) b1 = 5, bn+1 = bn + 5; б) b1 = 5, bn + 1 = bn • 5.

Упражнения для повторения

571. Найдите пару положительных чисел х и у, удовлетворяющих уравнению х2 + у2 = 45, если известно, что у вдвое больше х.

572. Решите уравнение:

    а) 4х4 + 4х2 - 15 = 0; б) 2х4 - х2 - 36 = 0.

573. Решите неравенство:

    а) х2 + х - 42 ≤ 0; б) (х + 11)(х + 4)(х - 1) > 0.

Представьте выражение в виде степени с основанием 3 и найдите его значение:

Ответы

    566. а) 65; б) 230; в) 5150.

    567. а1 = -20, а2 = -18, а3 = -14, а4 = -8.

    571. х = 3, у = 6.

    572. a) ±√1,5; б) ±√4,5.

    573. а) [-7; 6]; б) (-11; -4) ∪ (1; +∞).

<<< К началу

 

 

???????@Mail.ru