Главная >> Алгебра 9 класс. Макарычев

§ 9. Арифметическая прогрессия

Определение арифметической прогрессии. Формула n-го члена арифметической прогрессии(продолжение)

Пример 1. Последовательность (сn) — арифметическая прогрессия, в которой с1 = 0,62 и d = 0,24. Найдем пятидесятый член этой прогрессии.

Имеем

    с50 = 0,62 + 0,24 • (50 - 1) = 12,38.

Пример 2. Выясним, является ли число -122 членом арифметической прогрессии (xn):

    23; 17,2; 11,4; 5,6; ... .

В данной арифметической прогрессии х1 = 23 и d = х2 - х1 = 17,2 - 23 = -5,8. Запишем формулу л-го члена прогрессии:

    хn = 23 - 5,8 (n - 1), т. е.
    хn = 28,8 - 5,8n.

Число -122 является членом арифметической прогрессии (хn), если существует такое натуральное число n, при котором значение выражения 28,8 - 5,8n равно -122.

Решим уравнение 28,8 - 5,8n = -122:

    5,8n = 150,8, n = 26.

Отметим важное свойство арифметической прогрессии:

каждый член арифметической прогрессии, начиная со второго, равен среднему арифметическому предыдущего и последующего членов.

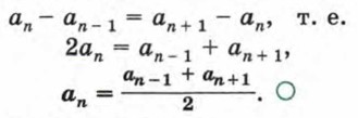
Действительно, если последовательность (аn) является арифметической прогрессией, то

если в последовательности (аn) каждый член, начиная со второго, равен среднему арифметическому предыдущего и последующего членов, то эта последовательность является арифметической прогрессией.

Действительно, из равенства

следует, что

    n = an - 1 + аn+1,
    an - аn - 1 = аn + 1 - аn,

а это означает, что разность между последующим и предыдущим членами последовательности (аn) остается постоянной. Значит, последовательность (аn) — арифметическая прогрессия.

Заметим, что формулу n-го члена арифметической прогрессии аn = а1 + d(n- 1) можно записать иначе:

    аn = dn + (а1 - d).

Отсюда ясно, что

любая арифметическая прогрессия может быть задана формулой вида

    аn = kn + b,

где k и b — некоторые числа.

Верно и обратное:

последовательность (а„), заданная формулой вида

    аn = kn + b,

где k и b — некоторые числа, является арифметической прогрессией.

Действительно, найдем разность (n + 1)-го и n-го членов последовательности (аn):

    аn + 1 - аn = k(n + 1) + b - (kn + b) = kn + k + b - kn - b = k.

Значит, при любом л справедливо равенство аn + 1 = аn + А, и по определению последовательность (аn) является арифметической прогрессией, причем разность этой прогрессии равна k.

<<< К началу          Окончание >>>

 

 

???????@Mail.ru