Главная >> Алгебра 9 класс. Макарычев

§ 9. Арифметическая прогрессия

Формула суммы первых n членов арифметической прогрессии (продолжение)

Пример 2. Найдем сумму первых сорока членов последовательности (аn), заданной формулой аn = 5n - 4.

Последовательность (аn) является арифметической прогрессией, так как она задана формулой вида аn = kn + b, где k = 5 и b = -4. Найдем первый и сороковой члены этой арифметической прогрессии: а1 = 5 • 1 — 4 = 1, а40 = 5 • 40 - 4 = 196.

Теперь по формуле (I) вычислим S40:

Пример 3. Найдем сумму всех натуральных чисел, кратных шести и не превосходящих 250.

Натуральные числа, кратные шести, образуют арифметическую прогрессию, которую можно задать формулой аn = 6n. Чтобы выяснить, сколько членов этой прогрессии не превосходят 250, решим неравенство 6n ≤ 250. Получим Значит, число членов прогрессии, сумму которых надо найти, равно 41.

Имеем

Пример 4. Пифагор (IV в. до н. э.) и его ученики рассматривали последовательности, связанные с геометрическими фигурами. Подсчитывая число кружков в треугольниках, квадратах, пятиугольниках (рис. 76), они получали:

— последовательность (аn) треугольных чисел

    1, 3, 6, 10, 15, ... ;

— последовательность (bn) квадратных чисел

    1, 4, 9, 16, 25, ... ;

— последовательность (сn) пятиугольных чисел

    1, 5, 12, 22, 35, ... .

Зададим каждую из этих последовательностей формулой л-го члена.


ДИОФАНТ

ДИОФАНТ (III в.) — древнегреческий математик из Александрии. В его «Арифметике» изложены начала алгебры, решен ряд задач, сводящихся к неопределенным уравнениям различных степеней. Теория диофантовых уравнений и теория диофантовых приближений — так названы два больших раздела современной теории чисел. Его труды оказали большое влияние на развитие математики.


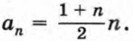
Последовательность (аn) треугольных чисел получается из последовательности натуральных чисел 1, 2, 3, ... , т. е. из арифметической прогрессии, в которой первый член и разность равны 1, следующим образом:

    a1 = 1, а2 = 1 + 2, а3 = 1 + 2 + 3, аn = 1 + 2 + 3 + ... + n.

Значит,

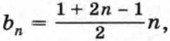
Последовательность (bn) квадратных чисел аналогичным способом получается из последовательности нечетных чисел 1, 3, 5, ... , т. е. из арифметической прогрессии, первый член которой равен 1 и разность равна 2:

    b1 = 1, b2 = 1 + 3, b3 = 1 + 3 + 5,
    bn = 1 + 3 + 5 + ... + 2n — 1.

Следовательно, bn = n2. Мы пришли к формуле, очевидной для последовательности квадратных чисел.

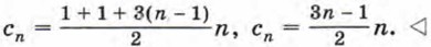
Последовательность (сn) пятиугольных чисел таким же способом можно получить из арифметической прогрессии 1, 4, 7, ... , в которой первый член равен 1 и разность равна 3:

    с1 = 1, с2 = 1 + 4, с3 = 1 + 4 + 7,
    сn = 1 + 4 + 7 + ... + (1 + 3(n - 1)).

Значит,

<<< К началу          Окончание >>>

 

 

???????@Mail.ru