Главная >> Алгебра 9 класс. Макарычев

§ 2. Квадратный трехчлен

Квадратный трехчлен и его корни (продолжение)

Пример 3. Докажем, что из всех прямоугольников с периметром 20 см наибольшую площадь имеет квадрат.


Пусть одна сторона прямоугольника равна х см. Тогда другая сторона равна 10-х см, а площадь прямоугольника равна х(10 - х) см2.

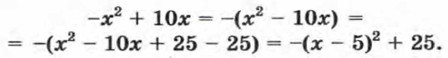
Раскрыв скобки в выражении х(10 - х), получим 10х - х2. Выражение -х2 + 10х представляет собой квадратный трехчлен, в котором а = — 1, b = 10, с = 0. Выделим квадрат двучлена:

Так как выражение (х - 5)2 при любом х ≠ 5 отрицательно, то сумма (х - 5)2 + 25 принимает наибольшее значение при х = 5.

Значит, площадь будет наибольшей, когда одна из сторон прямоугольника равна 5 см. В этом случае другая сторона также равна 5 см, т. е. прямоугольник является квадратом.


Упражнения

55. Какие из чисел -2, -1, 0, 2, 3 являются корнями многочлена

    х3 - 3х2 - 4х + 12?

56. Найдите корни многочлена:

    а) х2 - 7х; б) 2х - 5;   в) у3 - 4у;   г) у4 - 16.

57. Имеет ли корни многочлен:

    а) х2 + 1;   б) х3 - 27;   в) -2у6 - 1;   г) у4 + 3у2 + 7?

59. Найдите корни квадратного трехчлена:

    а) х2 + х - 6;
    б) 9х2 - 9х + 2;
    в) 0,2х2 + 3х - 20;

    г) -2х2 - х - 0,125;
    д) 0,1х2 + 0,4;
    е) -0,3х2 + 1,5х.

60. Найдите корни квадратного трехчлена:

    а) 10х2 + 5х - 5;
    б) -2х2 + 12х - 18;

    в) х2 - 2х - 4;
    г) 12х2 - 12.

61. Имеет ли квадратный трехчлен корни и если имеет, то сколько:

    а) 5х2 - 8х + 3;
    б) 9х2 + 6х + 1;

    в) -7х2 + 6х - 2;
    г) -х2 + 5х - 3?

62. Имеет ли квадратный трехчлен корни и если имеет, то сколько:

    а) -4х2 - 4х + 3;
    б) 4х2 - 4х + 3;

    в) 9х2 - 12х + 4;
    г) 9х2 - 12х - 4?

63. Сумма коэффициентов квадратного трехчлена равна нулю, а его свободный член в 4 раза больше старшего коэффициента. Найдите корни этого трехчлена.

64. Выделите квадрат двучлена из квадратного трехчлена:

    а) х2 - 6х - 2;
    б) х2 + 5х + 20;

    в) 3х2 + 6х - 3;

65. Выделите квадрат двучлена из квадратного трехчлена:

    а) х2 - 10х + 10;
    б) х2 + 3х - 1;

    в) 3х2 + 6х - 3;

66. Докажите, что при любом значении х квадратный трехчлен:

    а) х2 - 6х + 10 принимает положительное значение;
    б) 5х2 - 10x + 5 принимает неотрицательное значение;
    в) -х2 + 20х - 100 принимает неположительное значение;
    г) -2х2 + 16х - 33 принимает отрицательное значение.

67. Даны квадратные трехчлены х2 - 6х + 11 и -х2 + 6х - 11. Докажите, что первый из них не принимает отрицательных значений, а второй — положительных.

68. При каком значении x трехчлен 2x2 - 4х + 6 принимает наименьшее значение? Найдите это значение.

69. Дан квадратный трехчлен Выясните, при каком значении х он принимает наименьшее значение и чему равно это значение трехчлена.

70. Докажите, что из всех прямоугольных треугольников с суммой катетов, равной 6 см, наибольшую площадь имеет равнобедренный треугольник.

71. С башни выпустили вверх стрелу из лука. Если начальная скорость стрелы равна 50 м/с, высота башни 20 м и t (с) — время полета стрелы, то расстояние h (м) стрелы от поверхности земли в момент времени t (с) можно найти по формуле h = -5t2 + 50t + 20 (приближенное значение ускорения свободного падения считается равным 10 м/с2). Какой наибольшей высоты достигнет стрела?

<<< К началу          Окончание >>>

 

 

???????@Mail.ru