Главная >> Алгебра 9 класс. Макарычев

Упражнения для повторения курса 7—9 классов

Неравенства

999. Оцените периметр Р и площадь S прямоугольника, длины сторон которого а см и b см, если 14,3 ≤ а ≤ 14,4 и 25,1 ≤ 6 ≤ 25,2.

1000. Пользуясь тем, что 2,6 < √7 < 2,7 и 2,2 < √5 < 2,3, оцените значение выражения:

    a) √7 + √5; б) √7 - √5; в) √35.

1001. Решите неравенство:

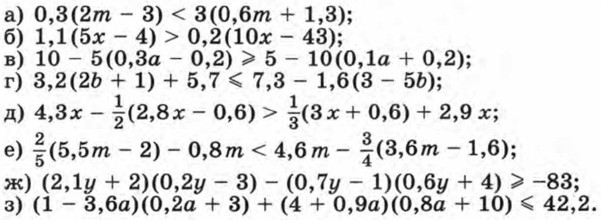
1002. Решите неравенство:

1003. При каких значениях b:

    а) значения дроби меньше соответствующих значении дроби
    б) значения дроби больше соответствующих значений дроби

1004. Решите неравенство:

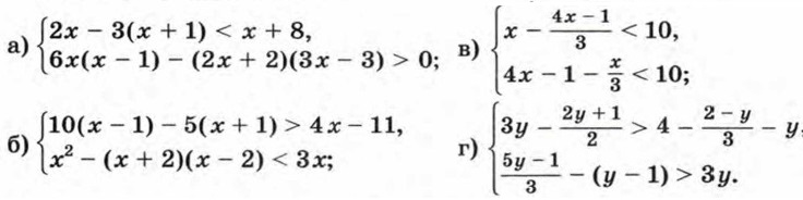
1005. Решите систему неравенств:

1006. Решите систему трех неравенств:

1007. Решите систему неравенств:

1008. Найдите целые решения системы неравенств:

1009. Решите двойное неравенство:

1010. При каких значениях переменной х:

    а) значения двучлена 0,5 — 0,2х принадлежат промежутку
    б) значения дроби принадлежат промежутку [-100; 100]?

Ответы >>>

 

 

???????@Mail.ru