Главная >> Алгебра 9 класс. Макарычев

Упражнения для повторения курса 7—9 классов

Функции (окончание)

1029. В каком промежутке возрастает и в каком убывает квадратичная функция:

    а) у = 2х2 + 10х - 7;
    б) у = -3х2 + х + 5;

    в) у = 4х2 + 2х;
    г) у = 3х - 5х2?

1030. Постройте график функции: В каждом случае укажите значения х, при которых у > 0; у < 0.

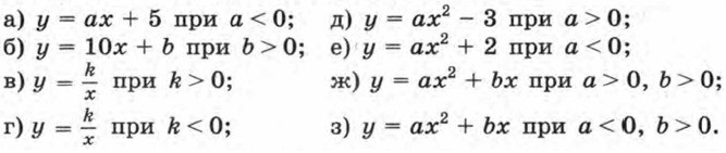
1031. Изобразите схематически график функции:

1032. Вычислите координаты точек пересечения графиков функций:

    а) у = 2х - 11 и у = -5х + 3;
    б) у = -3х - 10 и у = х2 - 13х + 6;
    в) у = -3х2 + х - 3 и у = -х2 + х - 5;
    г) y = 4х2 + 3х + 6 и у = 3х2 - 3х - 3.

1033. Задайте формулой функцию, график которой симметричен графику функции у = 2х - 4: а) относительно оси у; б) относительно оси х; в) относительно начала координат.

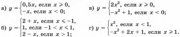
1034. Постройте график функции:

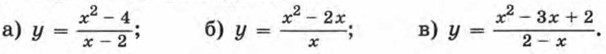
1035. Постройте график функции:

Ответы

    1029. а) Убывает в промежутке (-∞; -2,5] и возрастает в промежутке [-2,5; +∞); б) возрастает в промежутке и убывает в промежутке в) убывает в промежутке и возрастает в промежутке г) возрастает в промежутке (—∞; 0,3] и убывает в промежутке [0,3; +∞).

    1032. а) (2; -7); б) (2; -16), (8; -34); в) (-1; -7), (1; -5); г) (-3; 33).

    1033. а) у = -2х - 4; б) у = -2х + 4; в) у = 2х + 4.

<<< К началу

 

 

???????@Mail.ru