Главная >> Алгебра 9 класс. Макарычев

Упражнения для повторения курса 7—9 классов

Уравнения и системы уравнений (окончание)

965. При каких значениях b и с парабола у = х2 + bх + с пересекает оси координат в точках (0; -3) и В какой еще точке эта парабола пересекает ось х?

966. Мастер и ученик изготовили в первый день 100 деталей. Во второй день мастер изготовил деталей на 20% больше, а ученик — на 10% больше, чем в первый день. Всего во второй день мастер и ученик изготовили 116 деталей. Сколько деталей изготовил мастер и сколько изготовил ученик в первый день?

967. Легковой автомобиль проехал за 2 ч на 10 км больше, чем грузовой за 3 ч. Если уменьшить скорость легкового автомобиля на 25%, а грузового на 20%, то грузовой автомобиль проедет за 5 ч на 20 км больше, чем легковой за 3 ч. Найдите скорость каждого автомобиля.

968. На опытном поле под рожь отвели участок 20 га, а под пшеницу — 30 га. В прошлом году с обоих участков собрали 2300 ц зерна. В этом году урожайность ржи повысилась на 20%, а пшеницы — на 30% и поэтому собрали зерна на 610 ц больше, чем в прошлом году. Какой была урожайность каждой культуры в этом году?

969. Расстояние между пунктами А и В равно 160 км. Из А в В выехал велосипедист, и в то же время из В в А выехал мотоциклист. Их встреча произошла через 2 ч, а через 30 мин после встречи велосипедисту осталось проехать в 11 раз больше, чем мотоциклисту. Каковы скорости мотоциклиста и велосипедиста?

970. Имеются два сплава серебра с медью. Первый содержит 67% меди, а второй — 87% меди. В каком соотношении нужно взять эти два сплава, чтобы получить сплав, содержащий 79% меди?

971. Смешали два раствора соли. Концентрация первого составляла 40%, а концентрация второго — 48%. В результате получился раствор соли концентрацией 42%. В каком отношении были взяты первый и второй растворы?

972. Решите графически систему уравнений:

973. Решите систему уравнений способом подстановки:

974. Решите систему уравнений:

975. Не выполняя построения, выясните, пересекаются ли:

    а) парабола у = х2 - 6х + 8 и прямая х + у = 4; б) прямая х + у = 4 и гипербола в) окружности х2 + y2 = 4 и (х - 2)2 + у2 = 1.

Если пересекаются, то укажите координаты точек пересечения. Проиллюстрируйте решение с помощью графиков.

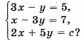
976. При каком значении с имеет решение система уравнений

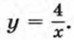
977. Не выполняя построения, выясните, пересекаются ли парабола y = х2 - х + 4 и гипербола Если пересекаются, то укажите координаты точек пересечения. Проиллюстрируйте решение с помощью графиков.

978. При каком значении а система уравнении имеет единственное решение?

979. Если от числителя и знаменателя обыкновенной дроби отнять по единице, то дробь увеличится на Если же к числителю и знаменателю прибавить по единице, то дробь уменьшится на Найдите эту дробь.

980. Если от числителя и знаменателя обыкновенной дроби отнять по единице, то дробь уменьшится на Если же к числителю и знаменателю прибавить по единице, то дробь увеличится на Найдите эту дробь.

981. Гипотенуза прямоугольного треугольника равна 41 см, а его площадь равна 180 см2. Найдите катеты этого треугольника.

982. Площадь прямоугольного треугольника равна 44 см2. Если один из его катетов уменьшить на 1 см, а другой увеличить на 2 см, то площадь будет равна 50 см2. Найдите катеты данного треугольника.

983. Двое рабочих вместе могут выполнить некоторую работу за 10 дней. После 7 дней совместной работы один из них был переведен на другой участок, а второй закончил работу, проработав еще 9 дней. За сколько дней каждый рабочий мог выполнить всю работу?

984. Двое рабочих, работая вместе, выполнили работу за 2 дня. Сколько времени нужно каждому из них на выполнение всей работы, если известно, что если бы первый проработал 2 дня, а второй — один, то всего было бы сделано всей работы?

985. Найдите номер члена арифметической прогрессии (аn), равного 3, если а1 = 48,5 и d = —1,3. Является ли членом этой прогрессии число -3,5; 15?

<<< К началу          Ответы >>>

 

 

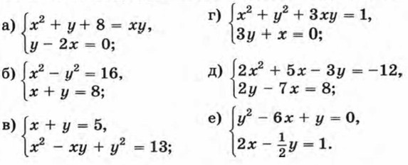
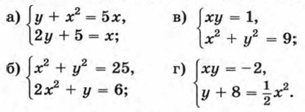
???????@Mail.ru