Главная >> Алгебра 9 класс. Макарычев

Сведения из курса алгебры 7—8 классов

Выражения и их преобразования (продолжение)

6. Формулы сокращенного умножения.

    а) (а + b)2 = а2 + 2аb + b2.

Квадрат суммы двух выражений равен квадрату первого выражения плюс удвоенное произведение первого и второго выражений плюс квадрат второго выражения.

    б) (а - b)2 = а2 - 2аb + b2.

Квадрат разности двух выражений равен квадрату первого выражения минус удвоенное произведение первого и второго выражений плюс квадрат второго выражения.

    в) (а + b)3 = а3 + 3аb2 + 3аb2 + b3.

Куб суммы двух выражений равен кубу первого выражения плюс утроенное произведение квадрата первого выражения на второе плюс утроенное произведение первого выражения на квадрат второго плюс куб второго выражения.

    г) (а - b)3 = а3 - 3а2b + 3аb2 - b3.

Куб разности двух выражений равен кубу первого выражения минус утроенное произведение квадрата первого выражения на второе плюс утроенное произведение первого выражения на квадрат второго минус куб второго выражения.

    д) (а - b) (а + b) = а2 - b2.

Произведение разности двух выражений и их суммы равно разности квадратов этих выражений.

    е) а3 + b3 = (а + b)(а2 - аb + b2).

Сумма кубов двух выражений равна произведению суммы этих выражений и неполного квадрата их разности.

    ж) а3 - b3 = (а - b) (а2 + аb + b2).

Разность кубов двух выражений равна произведению разности этих выражений и неполного квадрата их суммы.

7. Разложением многочлена на множители называют представление многочлена в виде произведения многочленов.

Для разложения многочленов на множители применяют вынесение множителя за скобки, группировку, используют формулы сокращенного умножения. Например, многочлен 8а3 - 6аb можно разложить на множители, вынося 2а за скобки: 8а3 - 6аb = 2а(4а2 - 3b); многочлен 2аb + 10b - 3а - 15 можно разложить на множители, используя группировку:

    2аb + 10b - 3а - 15 = (2аb + 10b) - (3а + 15) =
    = 2b(а + 5) - 3(а + 5) = (а + 5)(26 - 3);

многочлен 9а2 - 25b4 можно разложить на множители, используя формулу разности квадратов:

    2 - 25b4 = (3а)2 - (5b2)2 = (3а - 5b2)(3а + 5b2).

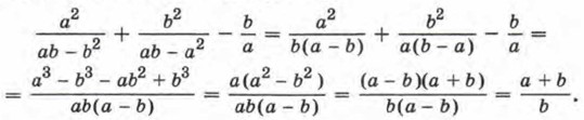
8. Рациональной дробью называется выражение вида где а и b — многочлены.

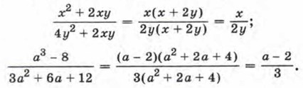
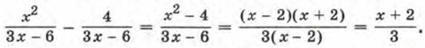
При любых значениях а, b и с, где b ≠ 0 и с ≠ 0, верно равенство Свойство дроби, выраженное тождеством называют основным свойством дроби. Основное свойство дроби используется при сокращении дробей. Например:

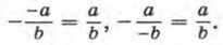
Если изменить знак числителя (или знак знаменателя) дроби и знак перед дробью, то получим выражение, тождественно равное данному:

9. Действия над рациональными дробями,

а) Если с ≠ 0, то

Чтобы сложить дроби с одинаковыми знаменателями, нужно сложить их числители, а знаменатель оставить тем же. Например:

Чтобы выполнить вычитание дробей с одинаковыми знаменателями, нужно из числителя первой дроби вычесть числитель второй дроби, а знаменатель оставить тем же. Например:

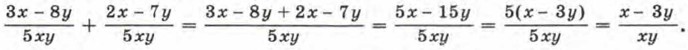
б) Чтобы выполнить сложение или вычитание дробей с разными знаменателями, нужно привести их к общему знаменателю и затем применить правило сложения или вычитания дробей с одинаковыми знаменателями. Например:

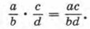
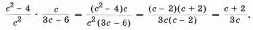
в) Если b ≠ 0 и d ≠ 0, то

Чтобы умножить дробь на дробь, нужно перемножить их числители и перемножить их знаменатели и первое произведение записать числителем, а второе — знаменателем дроби. Например:

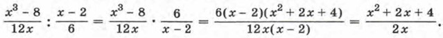
г) Если b ≠ 0, с ≠ 0 и d ≠ 0, то

Чтобы разделить одну дробь на другую, нужно первую дробь умножить на дробь, обратную второй. Например:

Любое рациональное выражение можно представить в виде рациональной дроби.

10. Степень с целым показателем.

Если n — натуральное число, большее 1, и а — любое число, то

Если n = 1 и а — любое число, то

    а1 = а.

Если n = 0 и а — число, отличное от нуля, то

    а0 = 1.

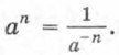
Если n — целое отрицательное число и а — отличное от нуля число, то

11. Свойства степени с целым показателем.

а) аmаn = аm + n, где а ≠ 0, m и n — целые числа.

При умножении степеней с одинаковыми основаниями основание оставляют прежним, а показатели степеней складывают.

б) аm : аn = аm - n, где а ≠ 0, m и n — целые числа.

При делении степеней с одинаковыми основаниями основание оставляют прежним, а из показателя степени делимого вычитают показатель степени делителя.

в) (аm)n = аmn, где а ≠ 0, m и n — целые числа.

При возведении степени в степень основание оставляют прежним, а показатели степеней перемножают.

г) (ab)n = аnbn, где а^О и б^О, n — целое число.

При возведении в степень произведения возводят в эту степень каждый множитель и результаты перемножают.

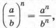
д) где а = 0 и b ≠ 0, n — целое число.

При возведении в степень дроби возводят в эту степень числитель и знаменатель и первый результат записывают в числителе, а второй — в знаменателе дроби.

12. Квадратным корнем из числа а называется число, квадрат которого равен а.

Арифметическим квадратным корнем из числа а называется неотрицательное число, квадрат которого равен а. Арифметический квадратный корень из а обозначают √а. Выражение, стоящее под знаком корня, называют подкоренным выражением. Выражение √а имеет смысл для всех а ≥ 0 и не имеет смысла при а < 0.

Свойства арифметического квадратного корня,

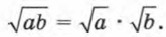
а) Если а ≥ 0 и b ≥ 0, то

Корень из произведения неотрицательных множителей равен произведению корней из этих множителей,

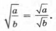
б) Если а ≥ 0 и b > 0, то

Корень из дроби, числитель которой неотрицателен, а знаменатель положителен, равен корню из числителя, деленному на корень из знаменателя.

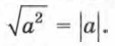
в) При любом значении а верно равенство

<<< К началу          Окончание >>>

 

 

???????@Mail.ru