Главная >> Алгебра 9 класс. Макарычев

§ 3. Квадратичная функция и ее график

Графики функций у = ах2 + n и у= а(х - m)2 (продолжение)

Пример 3. Рассмотрим функцию и выясним, что представляет собой ее график.

Для этого в одной системе координат построим графики функции у = 2х и .

Для построения графика функции воспользуемся таблицей (1). Составим теперь таблицу значений функции . При этом в качестве значений аргумента выберем те, которые на 5 больше соответствующих значений аргумента в таблице (1). Тогда соответствующие им значения функции будут те же, которые записаны во второй строке таблицы (1):

Построим график функции , отметив точки, координаты которых указаны в таблице (3) (рис. 28). Нетрудно заметить, что каждой точке (х0; у0) графика функции соответствует единственная точка (х0 + 5; у0) графика функции и наоборот.

Значит, если переместить каждую точку графика функции на 5 единиц вправо, то получим соответствующую точку графика функции .

Иначе говоря, каждую точку второго графика можно получить из соответствующей точки первого графика с помощью параллельного переноса на 5 единиц вправо вдоль оси х.

График функции — парабола, полученная в результате сдвига вправо на 5 единиц графика функции .

Вообще график функции у = а(х - m)2 является параболой, которую можно получить из графика функции у = ах2 с помощью параллельного переноса вдоль оси х на т единиц вправо, если m > 0, или на -m единиц влево, если m < 0.

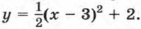
Полученные выводы позволяют понять, что представляет собой график функции у = а(х - m)2 + n. Рассмотрим, например, функцию Ее график можно получить из графика функции с помощью двух параллельных переносов — сдвига параболы на 3 единицы вправо и на 2 единицы вверх (рис. 29).

Вообще график функции у = а(х - m)2 + n является параболой, которую можно получить из графика функции у = ах2 с помощью двух параллельных переносов: сдвига вдоль оси х на m единиц вправо, если m > 0, или на -m единиц влево, если т < 0, и сдвига вдоль оси у на п единиц вверх, если n > 0, или на -n единиц вниз, если п < 0.

Заметим, что производить параллельные переносы можно в любом порядке: сначала выполнить параллельный перенос вдоль оси х, а затем вдоль оси у или наоборот.

Полученные нами выводы о преобразовании графиков применимы к любым функциям.

График функции у = ƒ(x) + n можно получить из графика функции у = ƒ(x) с помощью параллельного переноса вдоль оси у на п единиц вверх, если n > 0, или на -n единиц вниз, если n < 0.

График функции у = ƒ(x - m) можно получить из графика функции у = ƒ(x) с помощью параллельного переноса вдоль оси х на m единиц вправо, если m > 0, или на -m единиц влево, если m < 0.

График функции у = ƒ(x - m) + n можно получить из графика функции у = ƒ(x) с помощью двух соответствующих параллельных переносов.

При вращении параболы вокруг ее оси получается фигура, которую называют параболоидом. Если внутреннюю поверхность параболоида сделать зеркальной и направить на нее пучок лучей, параллельных оси симметрии параболы, то отраженные лучи соберутся в одной точке, которую называют фокусом. В то же время если источник света поместить в фокусе, то отраженные от зеркальной поверхности параболоида лучи окажутся параллельными и не рассеиваются.

Первое свойство позволяет получить в фокусе параболоида высокую температуру. Согласно легенде это свойство использовал древнегреческий ученый Архимед (287-212 гг. до н. э.). При защите Сиракуз в войне против римлян он построил систему параболических зеркал, которая позволила сфокусировать отраженные солнечные лучи на кораблях римлян. В результате температура в фокусах параболических зеркал оказалась настолько высокой, что на кораблях вспыхнул пожар и они сгорели.

Второе свойство используется, например, при изготовлении прожекторов и автомобильных фар.

<<< К началу          Окончание >>>

 

 

???????@Mail.ru