Главная >> Алгебра 9 класс. Макарычев

§ 3. Квадратичная функция и ее график

Построение графика квадратичной функции (окончание)

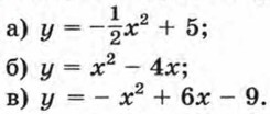
124. Постройте график функции и опишите ее свойства:

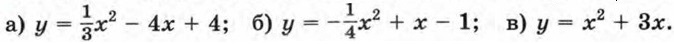
125. Постройте график функции:

127. Постройте график функции:

    а) у = (х - 2)(х + 4);   б) у = -х(х + 5).

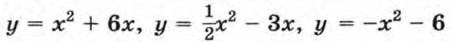
128. Выясните, график какой из функций

изображен на рисунке 35.

129. Найдите значение b, при котором прямая у = 6х + b касается параболы у = х2 + 8.

130. При каком значении n графики функций у = 2х2 - 5х + 6 и у = х2 - 7х + n имеют только одну общую точку? Найдите координаты этой точки.

Повторение

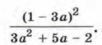
131. Сократите дробь

132. Изобразите схематически график функции и укажите область ее значений:

    а) у = х2 + 3;   б) у = (х + 1)2;   в) у = -х2 + 2.

133. Решите уравнение:

    а) (х - 1)2 + (х + 1)2 = (х + 2)2 - 2х + 2;
    б) (2х - 3)(2х + 3) - 1 = 5х + (х - 2)2.

134. Если с каждого гектара участка соберут 35 ц пшеницы, то план недовыполнят на 20 т; если с каждого гектара будет получено 42 ц, то план перевыполнят на 50 т. Какова площадь участка?

135. Если на каждую машину грузить 3,5 т груза, то останется 4 т; если на каждую машину грузить 4,5 т, то для полной загрузки всех машин не хватит 4 т груза. Сколько было машин?

Контрольные вопросы

1. Сформулируйте определение квадратичной функции.

2. Сформулируйте свойства квадратичной функции у = ах2:

    а) при а > 0;   б) при а < 0.

3. Как из графика функции у = ах2 можно получить график функции:

    а) у = ах2 + n; б) у = а (х - m)2;   в) у = а (х - m)2 + n?

4. Что представляет собой график квадратичной функции у = ах2 + + bх + с? На примере функции у= 2х2 - 12х + 16 покажите, как строят график квадратичной функции.

Ответы

    129. b = -1.

    130. При n = 5; (-1; 13).

    131.

    133. а) 1 - √5; 1 + √5;   б) -2;

    134. 100 га.

    135. 8 машин.

<<< К началу

 

 

???????@Mail.ru