Главная >> Алгебра 9 класс. Макарычев

§ 3. Квадратичная функция и ее график

Построение графика квадратичной функции

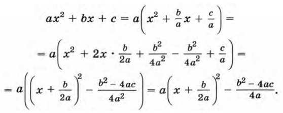
Для построения графика квадратичной функции запишем формулу у = ах2 + bх + с в виде у = а(х - m)2 + n.

Выделим из трехчлена ах2 + bх + с квадрат двучлена:

Отсюда

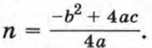
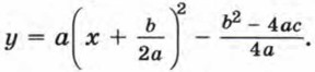
Мы получили формулу вида у = а(х - m)2 + n, где

Значит, график функции y = ах2 + bх + с есть парабола, которую можно получить из графика функции у = ах2 с помощью двух параллельных переносов — сдвига вдоль оси х и сдвига вдоль оси у. Отсюда следует, что график функции у = ах2 + bх + с есть парабола, вершиной которой является точка (m; n), где

Осью симметрии параболы служит прямая х = m, параллельная оси у. При а > 0 ветви параболы направлены вверх, а при а < 0 — вниз.

Чтобы построить график квадратичной функции, нужно:

    1) найти координаты вершины параболы и отметить ее в координатной плоскости;
    2) построить еще несколько точек, принадлежащих параболе;
    3) соединить отмеченные точки плавной линией.

Заметим, что абсциссу m вершины удобно находить по формуле Ординату n можно находить, подставив найденное значение абсциссы в формулу у — ах2 + bх + с, так как при х = m

    у = аx2 + bх + с = а(х - m)2 + n = n.

Приведем примеры построения графиков квадратичных функций.

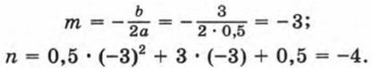
Пример 1. Построим график функции у = 0,5x + 3х + 0,5.

Графиком функции у = 0,5х + 3х + 0,5 является парабола, ветви которой направлены вверх. Найдем координаты m и n вершины этой параболы:

Значит, вершина параболы — точка (-3; -4).

Составим таблицу значений функции:

Построив точки, координаты которых указаны в таблице, и соединив их плавной линией, получим график функции

у = 0,5x2 + 3х + 0,5 (рис. 31).

При составлении таблицы и построении графика учитывалось, что прямая х = -3 является осью симметрии параболы. Поэтому мы брали точки с абсциссами -4 и -2, -5 и -1, -6 и 0, симметричные относительно прямой х = -3 (эти точки имеют одинаковые ординаты).

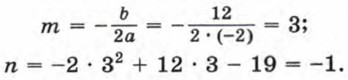
Пример 2. Построим график функции у = -2х2 + 12x - 19.

Графиком этой функции является парабола, ветви которой направлены вниз. Найдем координаты ее вершины:

Вычислив координаты еще нескольких точек, получим таблицу:

Соединив плавной линией точки, координаты которых указаны в таблице, получим график функции у = -2х2 + 12х - 19 (рис. 32).

Продолжение >>>

 

 

???????@Mail.ru