Главная >> Задачник. Физика 10 класс. Генденштейн

§ 12. Относительное движение брошенных тел. Отскок от наклонной плоскости

Ответы к § 12. Относительное движение брошенных тел. Отскок от наклонной плоскости

    1. 35 м.

    2. 2 с, 80 м.

    3. 1 с, 15 м.

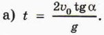
    4.

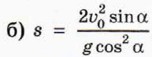
    5.

    6. время между последовательными ударами не зависит от угла наклона плоскости.

    7. 2 с; 10 м.

    8.

<<< К началу

 

 

???????@Mail.ru