Главная >> Задачник. Физика 10 класс. Генденштейн

§ 3. Сложение скоростей и переход в другую систему отсчёта при движении вдоль одной прямой

Ответы к § 3. Сложение скоростей и переход в другую систему отсчёта при движении вдоль одной прямой

    1. а) 2,5 м/с. б) 0,5 м/с. в) 20 с. г) 20 с. д) 20 м. е) 50 м. ж) 10 м.

    2. а) 10 м/с. б) 30 с. в) 30 м/с. г) 10 с. д) 40 с. е) 400 м.

    3. 100 м.

    4. а) 8 м/с. б) 2 м/с.

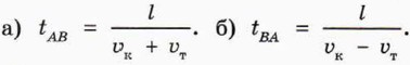
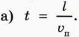
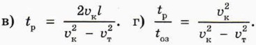
    5.

    6. Указание. Перейдите в систему отсчёта, связанную с плотом.

    7.

    8. sп = sл - L.

    9. 10 суток.

    10. 45c.

    11. Указание. За то время, пока Миша спустился на n ступенек, эскалатор спустился на N - n ступенек. 12. 0,51 км/ч; от Б к А.

    13. а) 200 м. б) См. рисунок 1. в) 1 км.

      Рис. 1

<<< К началу

 

 

???????@Mail.ru