Главная >> Задачник по физике 11 класс. Генденштейн

§ 23. Дифракция волн

Ответы к § 23: Дифракция волн

    1. 100.

    2. 2/3.

    3. 10,4°.

    4. 0,005 мм.

    5. 1,3°; 2,6°.

    6. 700 нм.

    7. Красный.

    8. 575 нм.

    9. 595.

    10. 680 нм.

    11. 1 м.

    12. 600 нм.

    13. 483 нм.

    14. 682 нм. 5. 15.

    16. 3.

    17. 600 нм.

    18. В фокальной плоскости линзы; 0,57 м.

    19. Согласно формуле дифракционной решётки dsinφ = kλ угол отклонения φ минимален для самых коротких волн (фиолетового света). Призмой же меньше всего отклоняются красные лучи, поскольку для них показатель преломления стекла минимален.

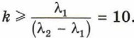
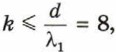
    20. В воде длина волны уменьшается в n раз, поэтому согласно формуле дифракционной решётки уменьшается и ширина спектральных полос на экране. У линзы, погружённой в воду, резко падает оптическая сила (увеличивается фокусное расстояние), поэтому фокальная плоскость оказывается намного дальше экрана и чёткого дифракционного спектра на экране не будет.

    21. Нет. Указание. Интерференционные максимумы порядков k и k + 1 перекрываются, если kλ2 ≥ (k + 1)λ1, то есть при, Поскольку максимальный порядок максимумов ограничен условием максимумы разных порядков перекрываться не будут.

<<< К началу

 

 

???????@Mail.ru