Главная >> Задачник по физике 8 класс. Генденштейн

Электромагнитные явления

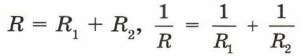
Последовательное и параллельное соединения проводников

    Когда разнородных металлов
    Контакт обеспечит среда
    Из водно-кислотных составов,
    То ток возникает всегда!

      Э. Г. Братута

    соединения проводников


Пример решения задачи

Каково сопротивление R показанной на рис. 50 цепи? Сопротивление резисторов R1 = R2 = 30 Ом, R3 = R4 = 60 Ом.

    Рис. 50

Р е ш е н и е. Резисторы R2 и R3 соединены параллельно, поэтому сопротивление соответствующего участка цепи

    сопротивление

Резисторы R1 и R4 подключены к участку цепи R2-R3 последовательно, поэтому

    Резисторы

О т в е т. R = 110 Ом.


Устная разминка

16.1. Резисторы сопротивлением 2 и 3 Ом соединены последовательно. Чему равно их общее сопротивление?

16.2. Резисторы сопротивлением 2 и 3 Ом соединены параллельно. Чему равно их общее сопротивление?

16.3. Резисторы сопротивлением 7, 13, 29 и 127 Ом включены последовательно. Можно ли утверждать, что их общее сопротивление больше 131 Ом?

16.4. Резисторы сопротивлением 7, 13, 29 и 127 Ом включены параллельно. Можно ли утверждать, что их общее сопротивление меньше 7 Ом?

16.5. Каковы основные свойства последовательного соединения проводников?

16.6. Каковы основные свойства параллельного соединения проводников?

16.7. Является ли последовательным соединение резисторов R1 и R2? R4 и R5 (рис. 51)?

    Рис. 51

16.8. Является ли параллельным соединение резисторов R1 и R2 (рис. 52)?

    Рис. 52

1 уровень >>>

 

 

???????@Mail.ru