Главная >> Задачник по физике 8 класс. Генденштейн

Электромагнитные явления

Работа и мощность тока

    Сила сцепленья
        Вяжет пары,
    Мощь тяготенья
        Держит миры,
    Атомов сродство
        Жизнь создает,
    Света господство
        К знанью ведет.

      Н. А. Морозов. Силы природы

А = UIt, Q = I2Rt, Р = UI


Пример решения задачи

Нихромовая спираль электроплиты длиной 10 м и площадью поперечного сечения 0,1 мм2 включена в сеть напряжением 220 В. Найдите мощность тока в спирали.

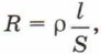
Р е ш е н и е. Мощность тока в спирали

Поскольку сопротивление спирали мощность тока

    мощность тока

Здесь S = 10-7 м2.

Подставляем числовые значения и проверяем единицы величин:

    Найдите мощность тока

О т в е т. 440 Вт.


Устная разминка

17.1. С помощью каких приборов можно измерить работу, совершаемую электрическим током?

17.2. С помощью каких приборов можно измерить мощность электрического тока?

17.3. Почему нить накала электрической лампы делают из вольфрама?

17.4. В каких лампах нить тоньше: в более мощных или менее? Почему?

17.5. Одна электрическая лампа включена в сеть напряжением 127 В, а другая — в сеть напряжением 220 В. В какой лампе при прохождении заряда 1 Кл совершается большая работа?

17.6. В течение часа в квартире горят две электрические лампы. Мощность первой лампы 60 Вт, второй — 100 Вт. В какой из ламп расход электроэнергии больше?

17.7. Сила тока в сетевом шнуре и спирали электроплиты одна и та же. Почему же спираль раскалена, а шнур — холодный?

17.8. Почему при прохождении электрического тока проводник нагревается?

17.9. Приведите примеры использования теплового действия тока в быту.

17.10. К чему приводит короткое замыкание в электрической цепи или на одном из ее участков?

17.11. Какие предохранители вам известны и каков принцип их действия?

17.12. Из каких материалов изготовляют плавкие предохранители? Почему?

1 уровень >>>

 

 

???????@Mail.ru