Главная >> Задачник по физике 8 класс. Генденштейн

Прямолинейное распространение света

Прямолинейное распространение света: Ответы, указания, решения

25.11. Из области полутени видна часть источника света.

25.15. Нужно наклонять палку.

25.24. Размер полутени увеличивается с увеличением размеров источника.

25.27. Может. Решение. Столб не отбрасывает тени, когда солнце находится точно в зените (т. е. когда солнечные лучи вертикальны). Это действительно может наблюдаться вблизи экватора.

25.28. Доказательством шарообразной формы Земли и прямолинейного распространения света.

25.29. Может. Солнце не является точечным источником света.

25.41. Может. Решение. Пусть, например, тень образуется на стене, параллельно которой движется велосипедист, а источник света движется быстрее велосипедиста и в том же направлении.

25.42. О том, что Венера не излучает «собственный» свет, а отражает солнечный свет.

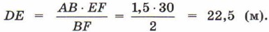
25.47. Решение. Высота трубы (рис. 207)

    Рис. 207

25 48 1,5 м.

25.49. Фонарь.

25.50. 1 м.

25.51. Не более 9 см.

<<< Третий уровень

 

 

???????@Mail.ru