Главная >> Задачник по физике 8 класс. Генденштейн

Оптические явления

Прямолинейное распространение света

    Молюсь оконному лучу —
    Он бледен, тонок, прям.

      А. А. Ахматова


Пример решения задачи

Как в солнечный день по тени можно определить высоту дерева?

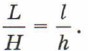
Р е ш е н и е. Сначала можно определить длину тени l = А'С от шеста, высота которого h = А'В' известна (рис. 110).

    Рис. 110

Затем можно измерить длину тени дерева L = АС. Из подобия треугольников АВС и А'В'С следует соотношение Из него находим высоту дерева:


Устная разминка

25.1. Как распространяется свет в вакууме и в однородной среде? Какие наблюдения и опыты подтверждают ваш ответ?

25.2. Приведите примеры точечных и протяженных источников света.

25.3. Приходилось ли вам видеть пучки света? Приведите примеры.

25.4. Какое явление служит доказательством прямолинейного распространения света?

25.5. Как просто и надежно проверить прямолинейность линии, начерченной на бумаге?

25.6. При каком условии тело отбрасывает тень?

25.7. При каком условии тело отбрасывает полутень?

25.8. При каких условиях возникают солнечные и лунные затмения? Какое свойство лучей света они доказывают?

1 уровень >>>

 

 

???????@Mail.ru