Главная >> Информатика и ИКТ. 6 класс. Босова

§ 1.3. Как информация представляется в компьютере, или Цифровые данные

Тексты в памяти компьютера

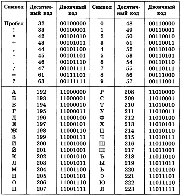
При двоичном кодировании текстовой информации чаще всего каждому символу ставится в соответствие уникальная цепочка из 8 нулей и единиц, называемая байтом. Всего существует 256 разных цепочек из 8 нулей и единиц. Это позволяет закодировать 256 разных символов. Например, прописные и строчные буквы русского и латинского алфавитов, цифры, знаки препинания, другие символы. Соответствие символов и кодов задается с помощью специальной кодовой таблицы. Ниже приведен фрагмент таблицы, используемой в системе Windows:

Например, слово «ЛУНА» кодируется четырьмя десятичными числами

    203     211     205     192

или двоичной последовательностью

    11001011   11010011   11001101   11000000.

Чтобы узнать, какое слово закодировано двоичной последовательностью, ее нужно разбить на 8-символьные цепочки, каждой из которых поставить в соответствие некоторый символ кодовой таблицы. Например, последовательность

    1100101011001101110010001100001111000000

разбиваем так:

    11001010.11001101.11001000.11000011.11000000

Это соответствует слову «КНИГА».

 

 

???????@Mail.ru