Главная >> Информатика и ИКТ. 6 класс. Босова

Глава 5. Компьютерный практикум. Работа 11

Знакомимся с векторной графикой

    Задание 4

1. Откройте текстовый процессор.

2. Рассмотрите имеющиеся варианты автофигур (панель Рисование). Из них вы будете «собирать» орнамент1.

    1 Орнамент — узор, состоящий из ритмически упорядоченных одинаковых элементов; предназначается для украшения различных предметов, архитектурных сооружений, произведений декоративно-прикладного искусства и т. п.

3. Для создания орнамента продумайте, соберите и раскрасьте повторяющийся фрагмент, например, такой: Чтобы закрасить автофигуру, ее следует выделить (щелчок левой кнопкой мыши) и указать цвет заливки.

4. Сгруппируйте созданный фрагмент.

5. В случае необходимости уменьшите созданный вами фрагмент так, чтобы его можно было 3-4 раза разместить по ширине страницы.

6. Скопируйте фрагмент в буфер и вставьте нужное количество его копий так, чтобы получилось 2-3 ряда по 3-4 фрагмента в каждом ряду.

7. С помощью инструмента Прямоугольник изобразите большой прямоугольник (Нет заливки, Тип линии — 6 пт), так чтобы орнамент оказался внутри него:

8. Сохраните результат в собственной папке под именем Орнамент и закройте программу.

    Задание 5

1. Откройте текстовый процессор.

2. Откройте файл Конструктор.doс (Мои документы\6класс\Заготовки). На экране появятся детали конструктора:

3. С помощью операций поворота ([Действия-Повернуть/отразить]), копирования и вставки соберите из имеющихся деталей лестницу:

4. Сохраните результат в собственной папке под именем Лестница и закройте программу.

    Задание 6

1. Откройте текстовый процессор.

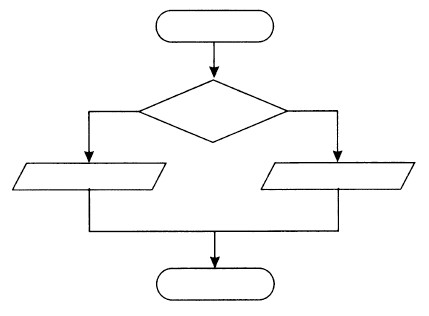
2. Среди вариантов автофигур (панель Рисование) есть группа Блок-схемы. Найдите те из них, о которых шла речь на уроке.

3. Используя автофигуры, начертите следующую блок-схему:

4. Сохраните результат в собственной папке под именем Схема.

    Теперь мы умеем

создавать простые графические объекты (фигуры) в текстовом процессоре;

выделять графические объекты (фрагменты), перемещать и удалять их;

редактировать графические объекты: изменять размеры и поворачивать, изменять цвет заливки, тип и цвет линии границы;

копировать и размножать графические фрагменты;

собирать сложные объекты из простых: устанавливать порядок следования, группировать, разделять сложные объекты на составные части.

<<< К началу

 

 

???????@Mail.ru