Главная >> Физика. 10 класс. Часть 2. Генденштейн

§ 41. Абсолютная температура и средняя кинетическая энергия молекул

Скорости молекул

Среднеквадратичной скоростью молекул называют корень квадратный из среднего квадрата скорости молекул:

    Среднеквадратичной скоростью молекул

Её можно использовать для оценки2 среднего значения модуля скорости молекул.

    2 Расчёт, выходящий за рамки нашего курса, показывает, что среднее значение модуля скорости примерно равно среднеквадратичной скорости.

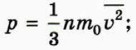
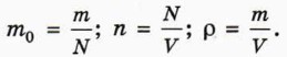
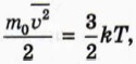
Среднеквадратичную скорость молекул газа можно выразить через макроскопические параметры газа: абсолютную температуру Т и молярную массу М, а также через давление р и плотность ρ.

3. Объясните, почему справедлива формула

    Среднеквадратичной скоростью молекул

Подсказка. Воспользуйтесь формулами R = kNA и М = m0NA.

4. Чему равны среднеквадратичные скорости молекул водорода, кислорода и радона при комнатной температуре?

Обратите внимание: при одной и той же температуре среднеквадратичные скорости молекул разных газов не равны: это следствие того, что у них одинаковая средняя кинетическая энергия. Чем меньше масса молекулы, тем больше её среднеквадратичная скорость при той же температуре.

5. Объясните, почему справедлива формула

Подсказка. Воспользуйтесь формулами

6. В сосуде объёмом 10 л находится 14 г азота. Давление в сосуде 2 • 105 Па. Чему равна среднеквадратичная скорость молекул газа? Есть ли в условии лишние данные?

Выполнив это задание, вы убедитесь, что молекулы действительно движутся со скоростями артиллерийских снарядов!

Окончание >>>

 

 

???????@Mail.ru