Главная >> Физика. 10 класс. Часть 2. Генденштейн

§ 42. Первый закон термодинамики

Внутренняя энергия газа

Из курса физики основной школы вы знаете, что сумму кинетической энергии хаотического движения частиц и потенциальной энергии их взаимодействия называют внутренней энергией.

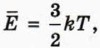
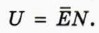
Внутренняя энергия U данной массы одноатомного идеального газа равна произведению средней кинетической энергии одной молекулы на число молекул N:

1. Объясните, почему внутренняя энергия U данной массы одноатомного идеального газа выражается формулой

    внутренняя энергия

где ν — количество вещества в газе.

Подсказка. Воспользуйтесь тем, что N = νNA, R = kNA.

Итак, внутренняя энергия идеального газа определяется только его абсолютной температурой и числом молекул в нём.

2. Объём одного моля газа при температуре 20 °С и нормальном атмосферном давлении составляет 24 л.

    а) Чему равна внутренняя энергия этого газа, если он одноатомный и его можно считать идеальным? б) На какую высоту можно было бы забросить мяч массой 365 г, если бы можно было сообщить ему такую кинетическую энергию и пренебречь сопротивлением воздуха?

Выполнив это задание, вы сможете представить, как велика внутренняя энергия тела. Объясняется это тем, что скорость хаотического движения молекул в десятки и сотни раз превышает скорости движения окружающих нас тел. А кинетическая энергия пропорциональна квадрату скорости. Поэтому при увеличении скорости в 10 раз кинетическая энергия увеличивается в 100 раз, а при увеличении скорости в 100 раз кинетическая энергия увеличивается в 10 000 раз.

Внутреннюю энергию идеального одноатомного газа можно выразить также через его давление р и объём V.

3. Объясните, почему внутренняя энергия U данной массы одноатомного идеального газа выражается формулой

Подсказка. Воспользуйтесь формулой (1) и уравнением состояния идеального газа.

4. Из формулы (1) следует, что внутренняя энергия одного моля газа зависит только от его абсолютной температуры и количества вещества (числа молекул). А из формулы (2) следует, что она зависит от давления и объёма, но зато не зависит от количества вещества. Объясните, почему тут нет противоречия.

Продолжение >>>

 

 

???????@Mail.ru