Главная >> Физика. 10 класс. Часть 2. Генденштейн

§ 52. Проводники и диэлектрики в электрическом поле

Диэлектрики в электрическом поле (окончание)

Диэлектрическая проницаемость

Величину, которая показывает, во сколько раз уменьшается напряжённость внешнего электрического поля внутри однородного диэлектрика, называют его диэлектрической проницаемостью и обозначают ε.

Значения диэлектрической проницаемости для разных веществ могут очень сильно различаться.

Например, для воздуха ε = 1,0006, то есть очень мало отличается от единицы. Очень близка к единице и диэлектрическая проницаемость других газов. Обусловлено это главным образом малой концентрацией молекул в газах.

Значение диэлектрической проницаемости большинства жидкостей и твёрдых тел — от нескольких единиц до нескольких десятков. Сравнительно велика диэлектрическая проницаемость воды: ε = 81.

Но есть вещества (сегнетоэлектрики), у которых диэлектрическая проницаемость достигает десятков и сотен тысяч.

6. Металлическому шару радиусом 10 см сообщили положительный заряд 20 нКл и после этого поместили в большой сосуд с водой.

    а) Сделайте в тетради схематический рисунок, на котором изобразите заряд шара и связанные заряды, возникшие вследствие поляризации воды.

    б) Чему будет равна напряжённость электрического поля на расстоянии от центра шара, равном 5 см? 15 см? 25 см?

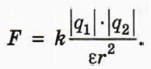
Уменьшение силы взаимодействия заряженных тел, погружённых в диэлектрик. Поскольку взаимодействие заряженных тел осуществляется посредством электрического поля, а поле в диэлектрике уменьшается в ε раз, то в ε раз уменьшается и сила взаимодействия заряженных тел, полностью погружённых в однородный диэлектрик. Например, для точечных зарядов, находящихся в однородном диэлектрике с диэлектрической проницаемостью ε, закон Кулона принимает вид

    полностью погружённых

7. Чему равна диэлектрическая проницаемость жидкости, если погружённые в неё небольшие шарики с зарядом 30 нКл каждый взаимодействуют с силой 7,8 мкН? Расстояние между шариками равно 20 см.

Увеличение силы взаимодействия заряженных тел, между которыми помещён диэлектрик.

Если расположить диэлектрик между заряженными телами, то силы, действующие на каждое заряженное тело, увеличатся.

8. Объясните, почему это происходит.

Подсказка. Воспользуйтесь рисунком 52.9.

    52.9

<<< К началу           Вопросы и задания >>>

 

 

???????@Mail.ru