Главная >> Физика. 10 класс. Часть 2. Генденштейн

§ 55. Применение закона Кулона и принципа суперпозиции полей

Ответы и указания к § 55. Применение закона Кулона и принципа суперпозиции полей

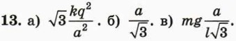
1. б) Не зависит. Указание. Запишите уравнения второго закона Ньютона для каждого шарика в проекциях на вертикально направленную ось координат, в) Когда они заряжены одноимённо.

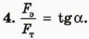
2. Да. Указание. Воспользуйтесь третьим законом Ньютона.

5. r = 2lsinα.

7. а) Угол уменьшился бы. б) Угол увеличился бы.

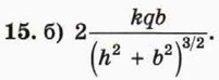
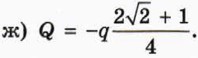
9. а) Заряд Q будет находиться в равновесии при любом заряде Q . б) Если Q — отрицательныи заряд, направлена от центра квадрата. направлена к центру квадрата, Не изменится.

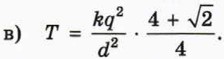
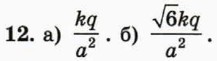
направлена от центра квадрата. б) √2T; направлена к центру квадрата, г) 2,7 мН.

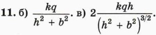
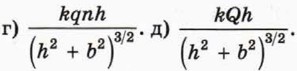
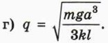
д) 13,5 нКл.

равновесие будет неустойчивым.

<<< К началу

 

 

???????@Mail.ru