Главная >> Физика. 10 класс. Часть 2. Генденштейн

§ 58. Работа и мощность тока

Закон Джоуля — Ленца. Работа тока

Применение закона Джоуля — Ленца к последовательно и параллельно соединённым проводникам

Выясним, в каких случаях для сравнения количества теплоты, выделившейся в проводниках, удобнее пользоваться формулой (2), а в каких случаях — формулой (3).

  • Формулу Q = I2Rt удобно применять, когда сила тока в проводниках одинакова, то есть когда они соединены последовательно (рис. 58.1).

    Рис. 58.1

Из этой формулы видно, что при последовательном соединении проводников большее количество теплоты выделяется в проводнике, сопротивление которого больше. При этом

  • Формулу удобно применять, когда напряжение на концах проводников одинаково, то есть когда они соединены параллельно (рис. 58.2).

    Рис. 58.2

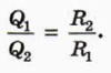
Из этой формулы видно, что при параллельном соединении проводников большее количество теплоты выделяется в проводнике, сопротивление которого меньше. При этом

2. При последовательном соединении в первом проводнике выделилось в 3 раза большее количество теплоты, чем во втором. В каком проводнике выделится большее количество теплоты при их параллельном соединении? Во сколько раз большее?

<<< К началу          Окончание >>>

 

 

???????@Mail.ru