Главная >> Физика. 10 класс. Часть 2. Генденштейн

§ 40. Уравнение состояния идеального газа

Закон Авогадро

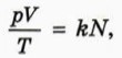
Из уравнения Клапейрона (см. предыдущий параграф) следует, что в процессах, происходящих с данной массой газа, произведение давления газа р на его объём V, делённое на аболютную температуру Т газа, постоянно:

Однако если масса газа в процессе изменилась, то значение выражения тоже изменится! Это очень легко проверить.

Надуйте щёки (рис. 40.1). При этом одновременно увеличились и давление воздуха во рту, и его объём, а температура этого воздуха осталась практически неизменной (равной температуре тела).

    Рис. 40.1

Следовательно, значение выражения увеличилось. Причина, конечно, в том, что при надувании щёк увеличивается масса воздуха во рту.

От чего же зависит значение отношения ? Может, только от массы газа?

Оказывается, что это не так: опыт показывает, что если для различных газов сделать одинаковым значение отношения , то массы газов могут сильно различаться. На рисунке 40.2 схематически изображены воздушные шарики одинакового объёма, наполненные водородом1, гелием, кислородом и радоном при одинаковых температуре и давлении.

    1 Из дальнейшего вы догадаетесь, почему масса водорода взята равной 2 г.

    Рис. 40.2

Ответ на вопрос, от чего зависит значение выражения оказался на удивление простым. Его нашёл в начале 19-го века итальянский учёный Амедео Авогадро.

Исследуя химические реакции между газами, он открыл закон, который называют сегодня законом Авогадро:

в равных объёмах различных газов при одинаковых температурах и давлениях содержится одинаковое число молекул.

Отсюда следует, что значение выражения для данной массы газа пропорционально только числу молекул:

    постоянной Больцмана

где k — коэффициент пропорциональности, одинаковый для всех газов. Его назвали постоянной Больцмана в честь австрийского физика Людвига Больцмана.

Измерения показали, что

    k = 1,38 • 10-23 Дж/К.

Из закона Алогадро следует, что главной характеристикой газа является число молекул.

 

 

???????@Mail.ru