Главная >> Молекулярная физика. Термодинамика. Физика 10 класс. Мякишев

Глава 3. Температура. Газовые законы

Ответы к упражнению 2: Температура. Газовые законы

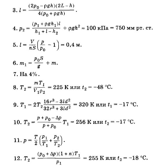
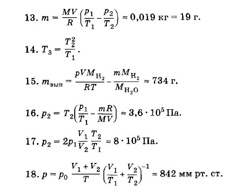
2. Нагретый термометр соприкасается со сравнительно холодным воздухом комнаты. Из-за большой разности температур ртуть охлаждается достаточно быстро и термометр удается стряхнуть почти тотчас же.

 

 

???????@Mail.ru