Главная >> Молекулярная физика. Термодинамика. Физика 10 класс. Мякишев

Глава 5. Законы термодинамики

Максимальный КПД тепловых двигателей

Тепловой насос

При отоплении помещений электрообогревателями энергетически выгоднее использовать тепловой насос, а не просто нагреваемую током спираль. Насос дополнительно будет передавать в помещение количество теплоты Q2 из окружающего воздуха. Однако это не делают из-за дороговизны холодильной установки по сравнению с обычной электрической печкой или камином.

При использовании теплового насоса практический интерес представляет количество теплоты Q1, получаемое нагреваемым телом, а не количество теплоты Q2, отдаваемое холодному телу. Поэтому характеристикой теплового насоса является так называемый отопительный коэффициент

Для идеальной машины, учитывая соотношения (5.12.6) и (5.12.2), будем иметь

отопительный коэффициент

где Т1 — абсолютная температура нагреваемого помещения, а Т2 — абсолютная температура атмосферного воздуха. Таким образом, отопительный коэффициент всегда больше единицы. Для реальных устройств при температуре окружающей среды t2 = 0°С и температуре помещения t1 = 25 °С εот ≈ 12. В помещение передается количество теплоты, почти в 12 раз превышающее количество затраченной электроэнергии.

Максимальный КПД тепловых машин (теорема Карно)

Главное значение полученной Карно формулы (5.12.2) для КПД идеальной машины состоит в том, что она определяет максимально возможный КПД любой тепловой машины.

Карно доказал, основываясь на втором законе термодинамики*, следующую теорему: любая реальная тепловая машина, работающая с нагревателем температуры Т1 и холодильником температуры Т2, не может иметь коэффициент полезного действия, превышающий КПД идеальной тепловой машины.

    * Карно фактически установил второй закон термодинамики до Клаузиуса и Кельвина, когда еще первый закон термодинамики не был сформулирован строго.

Рассмотрим вначале тепловую машину, работающую по обратимому циклу с реальным газом. Цикл может быть любым, важно лишь, чтобы температуры нагревателя и холодильника были Т1 и Т2.

Допустим, что КПД другой тепловой машины (не работающей по циклу Карно) η' > η. Машины работают с общим нагревателем и общим холодильником. Пусть машина Карно работает по обратному циклу (как холодильная машина), а другая машина — по прямому циклу (рис. 5.18). Тепловая машина совершает работу, равную согласно формулам (5.12.3) и (5.12.5)

Тепловая машина совершает работу

машина Карно

Холодильную машину всегда можно сконструировать так, чтобы она брала от холодильника количество теплоты Q2 = |Q'2|. Тогда согласно формуле (5.12.7) над ней будет совершаться работа

Так как по условию η' > η, то А' > А. Поэтому тепловая машина может привести в действие холодильную машину, да еще останется избыток работы. Эта избыточная работа совершается за счет теплоты, взятой от одного источника. Ведь холодильнику при действии сразу двух машин теплота не передается. Но это противоречит второму закону термодинамики.

Если допустить, что η > η', то можно другую машину заставить работать по обратному циклу, а машину Карно — по прямому. Мы опять придем к противоречию со вторым законом термодинамики. Следовательно, две машины, работающие по обратимым циклам, имеют одинаковые КПД: η' = η.

Иное дело, если вторая машина работает по необратимому циклу. Если допустить η' > η, то мы опять придем к противоречию со вторым законом термодинамики. Однако допущение η' < η не противоречит второму закону термодинамики, так как необратимая тепловая машина не может работать как холодильная машина. Следовательно, КПД любой тепловой машины η' ≤ η, или

КПД

Это и есть основной результат:

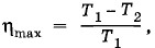
КПД любой тепловой машины

КПД реальных тепловых машин

Формула (5.12.13) дает теоретический предел для максимального значения КПД тепловых двигателей. Она показывает, что тепловой двигатель тем эффективнее, чем выше температура нагревателя и ниже температура холодильника. Лишь при температуре холодильника, равной абсолютному нулю, η = 1.

Но температура холодильника практически не может быть намного ниже температуры окружающего воздуха. Повышать температуру нагревателя можно. Однако любой материал (твердое тело) обладает ограниченной теплостойкостью, или жаропрочностью. При нагревании он постепенно утрачивает свои упругие свойства, а при достаточно высокой температуре плавится.

Сейчас основные усилия инженеров направлены на повышение КПД двигателей за счет уменьшения трения их частей, потерь топлива вследствие его неполного сгорания и т. д. Реальные возможности для повышения КПД здесь все еще остаются большими. Так, для паровой турбины начальные и конечные температуры пара примерно таковы: Т1 = 800 К и Т2 = 300 К. При этих температурах максимальное значение коэффициента полезного действия равно

максимальное значение коэффициента полезного действия

Действительное же значение КПД из-за различного рода энергетических потерь приблизительно равно 40%. Максимальный КПД — около 44% — имеют двигатели внутреннего сгорания.

Коэффициент полезного действия любого теплового двигателя не может превышать максимально возможного значения где Т1 — абсолютная температура нагревателя, а Т2 — абсолютная температура холодильника. Повышение КПД тепловых двигателей и приближение его к максимально возможному — важнейшая техническая задача.

<<< К началу параграфа

 

 

???????@Mail.ru