Главная >> Молекулярная физика. Термодинамика. Физика 10 класс. Мякишев

Глава 6. Взаимные превращения жидкостей и газов

Примеры решения задач на тему: Взаимные превращения жидкостей и газов

При решении задач по этой теме надо иметь в виду, что давление и плотность насыщенного пара не зависят от объема, а зависят только от температуры. Давление насыщенного пара считается известной величиной (сообщается в условии задачи или находится в соответствующих таблицах).

Уравнение состояния идеального газа вдали от критической температуры приближенно применимо для описания насыщенного пара. Но при сжатии или нагревании насыщенного пара его масса изменяется.

Задача 1

В замкнутом сосуде объемом V = 1 м3 находится вода массой m = 12 г и насыщенный пар; плотность и давление пара при данной температуре равны соответственно ρ = 8 • 10-3 кг/м3 и р = 1,1 кПа. Какое давление установится при увеличении объема в k = 5 раз? Считать, что температура при увеличении объема не изменяется.

Решение. В сосуде первоначально содержался насыщенный пар массой m1 = ρV = 8 • 10-3 кг (объемом, занимаемым водой, можно пренебречь).

Масса воды и пара была равна m + m1 = 2 • 10-2 кг. Для насыщения объема, равного kV, необходим пар массой m2 = ρkV = 4 • 10-2 кг. Так как m + m1 < m2, то после увеличения объема пар станет ненасыщенным. Его плотность

Давление пара при данной температуре прямо пропорционально плотности. Поэтому

Задача 2

В закрытом сосуде объемом V1 = 0,5 м3 находится вода массой m = 0,5 кг. Сосуд нагрели до температуры t = 147 °С. На какую величину ΔV следует изменить объем сосуда, чтобы в нем содержался только насыщенный пар? Давление насыщенного пара при температуре t = 147 °С равно р0 = 4,7 • 105 Па.

Решение. Насыщенный пар при давлении р0 занимает объем

где М = 0,018 кг/моль — молярная масса воды. Объем сосуда V1 > V и пар не является насыщенным. Чтобы пар стал насыщенным, объем сосуда следует изменить на

Объем сосуда должен быть уменьшен на 0,3 м3.

Задача 3

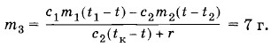
Кусок алюминия массой m1 = 537 г, нагретый до температуры t1 = 200 °С, опустили в воду массой m2 = 400 г при температуре t2 = 16 °С. Вода нагрелась до температуры t = 50 °С и частично испарилась. Определите массу испарившейся воды. Удельная теплоемкость алюминия с1 = 920 Дж/(кг • К). Удельная теплоемкость воды с2 = 4200 Дж/(кг • К), а удельная теплота парообразования воды при температуре кипения (tK = 100 °С) равна r = 2,26 МДж/кг. Тепловыми потерями пренебречь.

Решение. Количество теплоты, отданное куском алюминия:

Q1 = c1m1(t - t1).

Количество теплоты, полученное водой, складывается из количества теплоты, полученного всей водой при нагревании от t2 до t:

Q2 = c2m2(t - t2).

и количества теплоты, израсходованного для нагревания части воды массой m3 от t до tK и ее испарения при этой температуре:

Q3 = c2m3(tK -t) + rm3.

Пренебрегая тепловыми потерями, запишем уравнение теплового баланса:

Q3 + Q3 + Q3 = 0.

или

c1m1(t - t1) + c2m2(t - t2) + c3m3(tK - t) + rm3 = 0.

Откуда

Задача 4

Пористое тело было помещено для просушки под колокол вакуумного насоса. Давление под колоколом держалось на уровне 6,5 мм рт. ст. в течение 1 ч, после чего резко упало. Подача насоса 60 л/мин. Установившаяся под колоколом насоса температура t = 5 °С. Сколько воды содержало тело?

Решение. Давление р = 6,5 мм рт. ст. — это давление насыщенных водяных паров при t = 5 °С. Резкое падение давления свидетельствует о том, что вся вода превратилась в пар. Объем пара, откачанного насосом до полного испарения воды, V = 3600 л. Пользуясь уравнением состояния Менделеева— Клапейрона, находим искомую массу воды

Задача 5

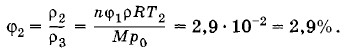
В сосуде находится воздух, относительная влажность которого при температуре t1 = 10 °С равна φ1 = 60%. Какой будет относительная влажность φ2 после уменьшения объема сосуда в n раз (n = 3) и нагревания газа до температуры t2 = 100 °С? Плотность насыщенных водяных паров при температуре t1 равна ρ = 9,4 • 10-3 кг/м3.

Решение. При температуре t1 абсолютная влажность (до сжатия) равна ρ1 = φ1ρ. После сжатия масса влаги, приходящаяся на единицу объема сосуда (не только в виде паров, но и в виде сконденсировавшейся жидкости, если возникли условия для конденсации), будет равна р2 = nρ1ρ = 1,69 • 10-2 кг/м3.

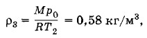
При температуре t2 = 100 °С давление насыщенных водяных паров равно нормальному атмосферному давлению р0 = 105 Па, и их плотность

где М = 0,018 кг/моль.

Так как ρ3 > ρ2, то в сосуде будет ненасыщенный пар с относительной влажностью

 

 

???????@Mail.ru