Главная >> Молекулярная физика. Термодинамика. Физика 10 класс. Мякишев

Глава 7. Поверхностное натяжение в жидкостях

§ 7.6. Давление под искривленной поверхностью жидкости

При своем стремлении к сокращению поверхностная пленка создает добавочное давление. Давление, которое всегда существует внутри жидкости, увеличивается, когда ее поверхность выпуклая, и уменьшается под вогнутой поверхностью.

Влияние кривизны поверхности на давление внутри жидкости

В существовании этого влияния можно убедиться на простом опыте. Возьмем стеклянную воронку с изогнутой под прямым углом трубкой. Направим конец воронки с выдутым мыльным пузырем на пламя свечи (рис. 7.21). Мы заметим, что пламя свечи отклоняется. Это говорит о том, что из воронки воздух вытекает, значит, давление воздуха в пузыре больше атмосферного.

Представляет интерес и такой опыт. Соединим широкий сосуд А при помощи резиновой трубки с узкой стеклянной трубкой. Наполним эти сообщающиеся сосуды водой. Сначала установим конец трубки В на уровне жидкости в сосуде А. В этом случае поверхность воды в трубке В, как и в сосуде А, является плоской (рис. 7.22, а). Так как вода в обоих сосудах находится на одном горизонтальном уровне, то давление непосредственно под плоской поверхностью жидкости в обоих сосудах одинаково и равно атмосферному.

Станем медленно опускать трубку В. Мы заметим, что поверхность воды в ней приобрела выпуклую сферическую форму (рис. 7.22,6). Теперь вода в сосуде А и трубке В находится не на одном уровне. Давление воды в сосуде А на уровне конца трубки В больше атмосферного на величину ρgh, где ρ — плотность воды, h — разность уровней воды в сосудах А и В. Так как жидкость в сообщающихся сосудах А и В находится в равновесии, то у конца В непосредственно под выпуклой поверхностью давление тоже больше атмосферного.

Продолжим опыт, осторожно опуская трубку В еще ниже. Вследствие этого кривизна поверхности воды в трубке В увеличится (радиус сферической поверхности воды уменьшится). Увеличится и разность уровней воды в сосуде А и трубке В. Это значит, что добавочное давление под выпуклой поверхностью жидкости тем больше, чем меньше радиус кривизны этой поверхности.

Если конец трубки В поднять выше уровня воды в сосуде А (рис. 7.22, в), то поверхность воды в трубке В станет вогнутой (вода смачивает стекло) и уровень воды в трубке В будет выше уровня воды в сосуде А. А это означает, что под искривленной (вогнутой) поверхностью воды в трубке В давление меньше атмосферного.

Отсюда следует вывод: давление непосредственно под выпуклой поверхностью жидкости больше давления под плоской поверхностью жидкости, а давление под вогнутой поверхностью жидкости меньше давления под плоской поверхностью.

Избыточное давление под сферической поверхностью жидкости

сферическая капля

Проще всего найти избыточное давление для поверхности, имеющей сферическую форму, используя закон сохранения энергии.

Будем увеличивать сферическую каплю, впрыскивая внутрь нее жидкость с помощью очень тонкого шприца (рис. 7.23). Пусть при этом объем капли увеличивается от значения V1 до значения V2, причем приращение объема очень мало. При очень малом увеличении объема давление можно считать постоянным, тогда работа сил давления при изменении объема на ΔV, равная pΔV (см. § 5.1), в данном случае будет

А = -риΔV,                     (7.6.1)

где ри — избыточное давление.

Работа А отрицательна, так как сила избыточного давления, действующая на элемент поверхности, направлена в сторону, противоположную направлению перемещения элемента поверхности. Эта работа равна изменению потенциальной (поверхностной) энергии, взятому с противоположным знаком:

А = -ΔUп = -σ(S2 - S1) = -σΔS,                     (7.6.2)

где S1 и S2 — начальная и конечная площади поверхности капли. Следовательно,

pиΔV = σΔS.                     (7.6.3)

Найдем изменение объема шара ΔV и изменение площади поверхности шара ΔS при малом увеличении Δr его радиуса:

изменение объема

(Здесь мы пренебрегли членами, пропорциональными Δr2 и Δr3 ввиду их малости.) Подставив выражения (7.6.4) и (7.6.5) в соотношение (7.6.8), получим

избыточное давление

Формула (7.6.6) применима не только для сферической капли жидкости, но и для любых искривленных поверхностей, имеющих форму части сферы, например для таких, какие изображены на рисунках 7.17, в, 7.18, 7.22, б, в. Под выпуклой поверхностью давление больше внешнего давления, а под вогнутой меньше (рис. 7.24).

сферические капли жидкости

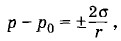
Если поверхность жидкости сферическая, то возникает разность давлений, равная

где р — давление под искривленной поверхностью жидкости; р0 — давление под плоской поверхностью, равное внешнему давлению; r — радиус сферы.

 

 

???????@Mail.ru