Главная >> Молекулярная физика. Термодинамика. Физика 10 класс. Мякишев

Глава 9. Тепловое расширение твердых и жидких тел

Ответы к упражнению 8: Тепловое расширение твердых и жидких тел

4. Увеличится на 59 см2.

5. 3,6 МДж.

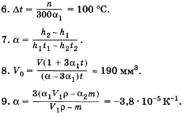
Отрицательное значение температурного коэффициента объемного расширения воды означает, что нагревание происходило в интервале от 0 до 4 °С.

 

 

???????@Mail.ru