Главная >> Физика 11 класс. Генденштейн. Дик

§ 33. Радиоактивность

Радиоактивные превращения

Какие частицы вылетают из ядра при радиоактивном распаде?

Чтобы найти ответ на этот вопрос, Резерфорд поместил пучок вылетающих из ядра частиц в сильное магнитное поле. Схема этого опыта представлена на рисунке 33.1.

    Рис. 33.1

Из узкого канала, на дне которого находится частица радия, выходит направленный пучок излучения и попадает в область сильного магнитного поля.

Как вы знаете, в магнитном поле на движущиеся заряженные частицы действует сила Лоренца. Положительно заряженные частицы она отклоняет в одну сторону, а отрицательно заряженные — в противоположную. Поэтому знак заряда частиц можно определить по тому, в какую сторону они отклоняются.

А отношение заряда частицы к её массе можно найти, измерив радиус дуги, по которой движется частица в магнитном поле.

В опыте, поставленном Резерфордом, пучок излучения расщеплялся на три пучка, которые Резерфорд назвал α-, β- и γ-лучами. Дальнейшие исследования показали, что

    α-лучи — это поток ядер гелия

    β-лучи — поток быстрых электронов;

    γ-лучи — поток фотонов большой энергии.

Электроны обозначают а фотоны большой энергии называют γ-квантами.

Правило смещения

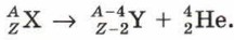
Найдём, как изменяются массовое и зарядовое числа ядра при α-распаде (испускании α-частиц) и β-распаде (испускании электронов).

3. Объясните, почему при α-распаде ядра его массовое число уменьшается на 4, а зарядовое — уменьшается на 2.

Подсказка. Учтите, что α-частица — ядро гелия.

4. Объясните, почему уравнение α-распада в общем виде можно записать так:

    уравнение α-распада в общем виде

Таким образом, при α-распаде ядро превращается в ядро другого химического элемента, который находится на две клетки ближе к началу таблицы Менделеева.

Продолжение >>>

 

 

???????@Mail.ru