Главная >> Физика 11 класс. Генденштейн. Дик

§ 4. Проводники и заряженные частицы в магнитном поле

Движение заряженной частицы в магнитном и электрическом полях (продолжение)

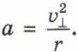
7. Объясните, почему в рассматриваемом случае

где m — масса частицы, q — её заряд.

Подсказка. В выражение для силы Лоренца в данном случае в качестве скорости входит υ, а центростремительное ускорение выражается формулой

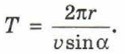
8. Объясните, почему один виток винтовой линии частица проходит за время

Подсказка. Воспользуйтесь тем, что υ = υ sin α.

9. Объясните, почему шаг винтовой линии выражается формулой

Подсказка. Воспользуйтесь тем, что а также тем, что

Итак, траектория заряженной частицы как бы «навивается» на линии магнитной индукции. Это явление играет большую роль в природе и технике.

Так, летящие от Солнца заряженные частицы не достигают поверхности Земли, потому что их траектории «навиваются» на линии магнитной индукции магнитного поля Земли. Это спасает нас от жёсткого излучения.

Советские физики И. Е. Тамм и А. Д. Сахаров предложили использовать особенности движения заряженных частиц в магнитном поле для удержания высокотемпературной плазмы (сильно нагретого почти полностью ионизированного газа). Это необходимо для исследований по управляемому термоядерному синтезу.

В устройстве, названном «токамак», траектории движущихся заряженных частиц «навиваются» на линии магнитной индукции кольцеобразной формы (на рисунке 4.7 часть траектории одной из заряженных частиц показана пунктиром). Благодаря этому возникает «магнитная ловушка»: частицы плазмы не вылетают за пределы заданного пространства.

Движение в переменном во времени магнитном поле

Вернёмся к случаю, когда скорость заряженной частицы перпендикулярна вектору магнитной индукции однородного магнитного поля и частица движется по окружности.

Рассмотрим, как изменятся характеристики движения частицы, если магнитная индукция начнёт медленно изменяться по модулю.

<<< К началу      Окончание >>>

 

 

???????@Mail.ru