Главная >> Физика 11 класс. Генденштейн. Дик

§ 19. Линзы

Увеличение линзы

При изучении создаваемого линзой изображения протяжённого предмета в качестве простейшей модели такого предмета берут стрелку, расположенную перпендикулярно главной оптической оси с началом на этой оси.

На рисунках 19.19 а—в приведены примеры построения изображений1 предмета в собирающей и рассеивающей линзах.

    1 Мнимое изображение часто обозначают пунктиром.

Обозначим длину предмета h, а длину его изображения Н.

    Рис. 19.19

Увеличением линзы Г называют2 отношение длины изображения Н предмета к длине самого предмета h:

    Увеличение линзы

    2 Буква Г — большая буква греческого алфавита; читается «гамма».

Например, если Г = 0,5, то изображение предмета в 2 раза меньше предмета.

Изображение называют:

  • увеличенным, если Г > 1,
  • уменьшенным, если Г < 1,
  • в натуральную величину, если Г = 1.

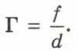
Обозначим d расстояние от предмета до линзы, a ƒ — расстояние от линзы до изображения этого предмета (см. рис. 19.19, а).

13. Докажите построением хода лучей, что действительное изображение предмета в собирающей линзе будет:

    — уменьшенным, если d > 2F;

    — в натуральную величину, если d = 2F;

    — увеличенным, если d < 2F;

14. Докажите построением хода лучей, что мнимое изображение предмета в собирающей линзе всегда увеличенное.

15. Докажите построением хода лучей, что изображение предмета в рассеивающей линзе всегда уменьшенное.

16. Докажите, что

 

 

???????@Mail.ru