Главная >> Физика 11 класс. Генденштейн. Дик

§ 27. Некоторые следствия специальной теории относительности

Энергия тела

Используя постулаты теории относительности, Эйнштейн вывел формулу для полной энергии движущегося тела массой m:

    формула для полной энергии движущегося тела массой m

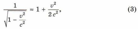
Формула (2) приводит к результатам, благодаря которым 20-й век стал «веком атома». Чтобы увидеть их, запишем формулу (2) для случая, когда υ << с. Можно показать, что в этом случае1

    1 Чтобы убедиться в справедливости этой формулы при υ << с, возведите обе её части в квадрат и приведите к одному знаменателю. Вы увидите, что левую и правую части можно считать равными, если пренебречь

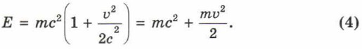
поэтому формула (2) принимает вид

Второе слагаемое в формуле (4) нам хорошо знакомо: это кинетическая энергия тела.

Первое же слагаемое — это энергия покоя

    Е0 = mс2.                         (5)

Формула (5) — символ физики 20-го века. Из неё следует, что даже покоящееся тело обладает энергией вследствие того, что у него есть масса. Подробнее мы рассмотрим это в Главе 9. Выполнив следующее задание, вы сможете оценить заключённую в теле энергию.

3. Чему равна энергия покоя тела массой 1 г?

4. Какую массу угля надо сжечь, чтобы выделившееся при сгорании количество теплоты было равно энергии покоя тела массой 1 г? Сколько вагонов понадобилось бы для перевозки этой массы угля, если один вагон вмещает 50 т? Удельную теплоту сгорания угля примите равной 30 МДж/кг.

Окончание >>>

 

 

???????@Mail.ru