Главная >> Колебания и волны. Физика 11 класс. Мякишев

Глава 2. Электрические колебания

§ 2.3. Формула Томсона

Перейдем теперь к количественной теории процессов в колебательном контуре.

Формула Томсона

Наша задача в первую очередь будет заключаться в определении периода (или частоты) свободных электрических колебаний. Правда, основываясь на аналогии между свободными механическими и свободными электрическими колебаниями, можно сразу записать выражения для частоты и периода свободных электрических колебаний. Действительно, так как в формуле для циклической частоты свободных колебаний шарика на пружине величина k аналогична а m — индуктивности L, то частота свободных электрических колебаний должна быть равна:

Для периода свободных колебаний можно записать:

Формула Томсона

Формула (2.3.2) называется формулой Томсона в честь английского физика, который ее впервые вывел.

Полученные нами результаты правильны. Однако все же считать их достаточно строго доказанными нельзя. Необходимо показать, что уравнение, описывающее электрические колебания в контуре, в математическом отношении не отличается от уравнения, описывающего свободные механические колебания. Лишь после этого мы с полной уверенностью сможем утверждать, что механические и электрические колебания управляются одними и теми же количественными законами. А это и есть самое важное.

Уравнение, описывающее процессы в колебательном контуре

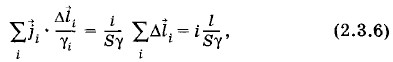
Основное уравнение для процессов в колебательном контуре можно записать, используя закон Ома в дифференциальной форме:

плотность тока

Здесь — плотность тока, γ — удельная проводимость, — напряженность потенциального электрического поля в проводнике, созданного поверхностными зарядами, ст — напряженность поля сторонних сил. В случае колебательного контура без источников тока ст — это напряженность вихревого (непотенциального) поля.

колебательный контур

Рассмотрим колебательный контур, содержащий все три основных элемента: конденсатор емкостью С, катушку индуктивностью L и резистор сопротивлением R (рис. 2.7). Сопротивлением катушки, пластин конденсатора и соединительных проводов пренебрежем. Весь контур между точками 1 и 2 разобьем на малые элементы Положительное направление обхода контура выберем по часовой стрелке. Запишем уравнение (2.3.3) для каждого элемента и умножением обеих частей на приведем его к виду:

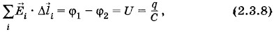
Теперь просуммируем уравнения (2.3.4), записанные для всех элементов контура между точками 1 и 2:

Выясним физический смысл каждого из членов уравнения (2.3.5). Рассмотрим сумму в левой части уравнения. Для всей цепи, кроме резистора, удельная проводимость бесконечна, так как мы сопротивление этой части цепи полагаем пренебрежимо малым. Далее, будем считать резистор состоящим из тонкой проволоки постоянного поперечного сечения площадью S и постоянной удельной проводимости γ. Тогда плотность тока будет направлена по и приблизительно постоянна по сечению. Поэтому можно принять, что

где i — сила тока в цепи.

При этих предположениях

где l — длина проволоки резистора.

Величина

есть не что иное, как сопротивление резистора.

Рассмотрим первый член правой части уравнения (2.3.5). Он численно равен работе кулоновского поля, созданного поверхностными зарядами проводника, при перемещении единичного заряда вдоль контура от точки 1 к точке 2, т. е. разности потенциалов (или напряжению) на конденсаторе:

где q — заряд правой пластины конденсатора.

Второй член правой части уравнения (2.3.5) численно равен работе сторонних сил (вихревого электрического поля) в контуре по перемещению единичного заряда, т. е. представляет собой ЭДС самоиндукции. Согласно закону электромагнитной индукции:

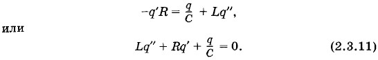
Теперь силу тока выразим через производную заряда конденсатора. Здесь имеется небольшая тонкость. При выбранном направлении обхода контура сила тока, направленного от правой пластины конденсатора, положительна. Эта пластина разряжается и ее заряд уменьшается. Изменение заряда Δq за малый интервал времени Δt отрицательно. Для того чтобы сила тока была положительной величиной, ее надо определить так:

Если бы вместо заряда q правой пластины мы взяли заряд левой пластины, то i = +q'. В нашем случае справедливо равенство (2.3.10). Окончательно уравнение (2.3.5) запишем в форме:

Это и есть основное уравнение для процессов в колебательном контуре. Оно аналогично уравнению (1.9.5) с правой частью, равной нулю. (Такое уравнение будет описывать свободные затухающие колебания.)

Окончание параграфа >>>

 

 

???????@Mail.ru