Главная >> Колебания и волны. Физика 11 класс. Мякишев

Глава 2. Электрические колебания

§ 2.5. Действующие значения силы тока и напряжения

Напряжение и сила промышленного переменного тока изменяются сравнительно быстро. Поэтому при прохождении тока по проводнику, например по нити электрической лампочки, количество выделенной энергии также меняется со временем. Но этих быстрых изменений мы не замечаем. Нас интересует количество теплоты, которое выделяется в среднем за единицу времени. Это значение совпадает со средним за период, и оно определяет мощность лампочки.

Как и при механических колебаниях, в случае электрических колебаний нас не интересуют значения силы тока, напряжения и заряда в каждый момент времени (мгновенные значения). Важны общие характеристики колебаний, такие, как амплитуда, частота, сдвиг фаз, а также средние по времени значения силы тока, напряжения, мощности и других величин.

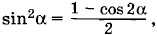
Выясним вначале, чему равно среднее за период Т значение силы тока. В течение половины периода сила тока положительна, а во время другой половины периода отрицательна (рис. 2.10). Если разбить весь интервал времени Т на очень малые отрезки, то положительному значению силы тока на любом малом отрезке первой половины периода будет отвечать такое же отрицательное значение на соответствующем отрезке второй половины периода (см. рис. 2.10). Поэтому среднее за период значение силы тока равно нулю:

Значения силы тока

Угол отклонения стрелки амперметра, в котором проволочная рамка с током поворачивается в поле постоянного магнита (прибор магнитоэлектрической системы), пропорционален силе тока. Такой амперметр может измерять силу тока только в цепях постоянного тока. При включении его в цепь переменного тока он покажет нуль. Стрелка обладает инертностью и не успевает отклоняться в такт с изменением силы тока. Она будет лишь слегка дрожать на месте.

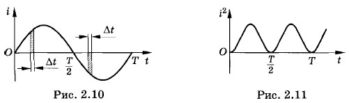
Мощность в цепи постоянного тока на участке сопротивлением R определяется квадратом силы тока. В случае же переменного тока она определяется средним значением квадрата силы тока. Среднее значение квадрата силы тока за период уже не равно нулю, так как квадрат силы тока на протяжении всего периода положителен (рис. 2.11).

Так как то

Величина постоянна. Среднее за период значение cos 2ωt равно нулю, так же как и среднее значение sin ωt. Следовательно, среднее значение квадрата силы тока

Действующим значением I силы переменного тока называют квадратный корень из среднего квадрата силы тока:

значением I силы

Действующее значение напряжения определяется подобным образом:

Действующее значение напряжения

Амперметры и вольтметры для переменного тока устроены так, что углы отклонения их стрелок пропорциональны I2 или U2. В приборах электродинамической системы ток проходит через две катушки, соединенные последовательно. К одной из них прикреплена стрелка. Эта легкая подвижная катушка поворачивается в магнитном поле второй, неподвижной катушки. При этом угол поворота стрелки пропорционален I2 или U2. Градуируют амперметры и вольтметры так, чтобы они показывали действующее значение силы тока и напряжения.

Конечно, можно было бы характеризовать силу тока и напряжение амплитудами, а не действующими значениями. Но действующие значения значительно удобнее в том смысле, что именно они непосредственно определяют мощность переменного тока в цепи.

Действующее значение силы переменного тока равно силе постоянного тока, выделяющего в цепи такое же количество теплоты, что и переменный ток за то же время.

 

 

???????@Mail.ru