Главная >> Колебания и волны. Физика 11 класс. Мякишев

Глава 2. Электрические колебания

§ 2.7. Конденсатор в цепи переменного тока

Постоянный ток не может существовать в цепи, содержащей конденсатор. Цепь при этом оказывается разомкнутой, так как обкладки конденсатора разделены слоем диэлектрика.
Переменный ток способен течь в цепи, содержащей конденсатор. В этом можно убедиться с помощью простого опыта.

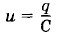
Возьмем источники постоянного и переменного напряжения, причем постоянное напряжение на зажимах источника пусть будет равно действующему значению переменного напряжения. Цепь состоит из конденсатора и лампы накаливания (рис. 2.14), соединенных последовательно. При включении с помощью переключателя постоянного напряжения лампа не светится. Но при включении переменного напряжения лампа начинает светиться, если емкость конденсатора достаточно велика.

Как же переменный ток может течь по разомкнутой цепи? Здесь происходит периодическая перезарядка конденсатора под действием переменного напряжения. Ток, текущий при перезарядке, нагревает нить лампы.

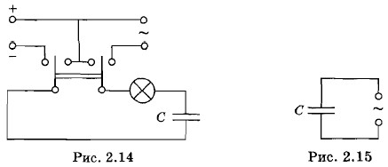
Найдем, как меняется со временем сила тока в цепи, содержащей только конденсатор, если сопротивлением проводников и обкладок конденсатора можно пренебречь (рис. 2.15).

Напряжение на конденсаторе

равно напряжению на зажимах цепи. Следовательно,

Заряд конденсатора меняется по гармоническому закону:

Сила тока представляет собой производную заряда по времени. Если заряд q в формуле (2.7.1) — это заряд той пластины конденсатора, которая встречается первой при выбранном направлении обхода контура, то (см. с. 64, § 2.3)

колебания силы тока

Следовательно, колебания силы тока опережают по фазе колебания напряжения на π/2 (рис. 2.16). Это означает, что в момент, когда конденсатор начинает заряжаться, сила тока максимальна, а напряжение равно нулю. После того как напряжение достигает максимума, сила тока становится равной нулю и т. д.

Амплитуда силы тока равна:

Если ввести обозначение

и вместо амплитуд силы тока и напряжения использовать их действующие значения, то получим:

Величину ХС, обратную произведению циклической частоты на емкость конденсатора, называют емкостным сопротивлением. Роль этой величины подобна роли активного сопротивления R в законе Ома (2.6.3). Действующее значение силы тока связано с действующим значением напряжения на конденсаторе точно так же, как связаны согласно закону Ома сила тока и напряжение на участке цепи постоянного тока. Это и позволяет рассматривать величину ХС как сопротивление конденсатора переменному току — емкостное сопротивление.

Чем больше емкость конденсатора, тем больше согласно формуле (2.7.3) сила тока перезарядки. Это легко обнаружить по увеличению накала лампы при увеличении емкости конденсатора. В то время как сопротивление конденсатора постоянному току бесконечно велико, его сопротивление переменному току имеет конечное значение ХС. Оно уменьшается с увеличением емкости и увеличением частоты.

Это можно увидеть, если для питания цепи, изображенной на рисунке 2.14, использовать генератор переменного тока регулируемой частоты. Плавно увеличивая частоту переменного тока, можно наблюдать увеличение накала лампы. Оно вызвано увеличением силы тока за счет уменьшения емкостного сопротивления конденсатора.

Если на один вход двухлучевого осциллографа подать напряжение с конденсатора, а на другой вход — напряжение, мгновенное значение которого пропорционально силе тока в цепи (это напряжение снимается с активного сопротивления), то на экране будут одновременно наблюдаться осциллограммы (временные развертки) обоих колебаний: напряжения и силы тока. Такие наблюдения подтверждают полученный выше вывод о том, что колебания силы тока в цепи конденсатора сдвинуты по фазе относительно колебаний напряжения на π/2, как это показано на рисунке 2.16.

 

 

???????@Mail.ru