Главная >> Колебания и волны. Физика 11 класс. Мякишев

Глава 3. Производство, передача, распределение и использование электрической энергии

Трансформатор

Работа нагруженного трансформатора

Если к концам вторичной обмотки присоединить цепь, потребляющую электроэнергию, или, как говорят, нагрузить трансформатор, то под действием ЭДС 2 во вторичной обмотке появится ток i2. Этот ток создает в сердечнике трансформатора свой переменный магнитный поток, который по правилу Ленца должен уменьшать изменения магнитного потока в сердечнике.

Однако несмотря на появление нового магнитного потока, порожденного током i2 во вторичной обмотке, магнитный поток, пронизывающий сердечник трансформатора, сохраняет ту же амплитуду Фm, что и при холостом ходе. Это объясняется тем, что при любых нагрузках падение напряжения в первичной обмотке незначительно из-за того, что ее активное сопротивление мало. Поэтому равенство (3.3.8) остается справедливым и для нагруженного трансформатора. Для действующих значений оно запишется так:

U1 = 1.                     (3.3.11)

Следовательно, при неизменном первичном напряжении U1 остаются практически неизменными ЭДС 1 и связанная с ней амплитуда магнитного потока Фm. В самом деле,

Это может быть лишь в том случае, если магнитный поток, порождаемый током первичной обмотки, увеличится по сравнению с потоком при холостом ходе настолько, что сможет компенсировать размагничивающее действие магнитного потока вторичной обмотки трансформатора. Значит, когда трансформатор нагружен, то появление тока во вторичной обмотке приводит к возрастанию силы тока в первичной обмотке. Иными словами, отдача энергии нагрузке через вторичную обмотку трансформатора сопровождается увеличением потребления энергии от сети первичной обмоткой.

Коэффициент полезного действия трансформатора

Мощность, потребляемая первичной обмоткой трансформатора из сети, равна

P1 = I1U1 соs φ1                     (3.3.12)

а мощность, отдаваемая трансформатором потребителям (мощность, потребляемая нагрузкой), равна

Р2 = I2U2 cos φ2.                     (3.3.13)

При работе трансформатора Р1 > Р2. Разность между потребляемой трансформатором мощностью Р1 и мощностью Р2, потребляемой нагрузкой, представляет собой мощность, теряемую в трансформаторе. Потери мощности в трансформаторе (Р1 - Р2) состоят из двух частей: во-первых, это потери в обмотках трансформатора Рo и, во-вторых, это потери в сердечнике Рс.

Мощность потерь в обмотках

где R1 и R2 — активные сопротивления первичной и вторичной обмоток. Мощность Po зависит от активного сопротивления обмоток и нагрузки трансформатора.

Потери в сердечнике состоят из потерь энергии при пере- магничивании сердечника (потери на гистерезис) и потерь на нагревание сердечника вихревыми токами. Эти потери при постоянной частоте переменного тока зависят от максимального значения магнитного потока. Так как при данном напряжении U1 максимальное значение магнитного потока трансформатора остается неизменным, то потери в сердечнике можно считать не зависящими от нагрузки.

В трансформаторе отсутствуют вращающиеся части, и, следовательно, нет потерь на трение. Поэтому общая мощность потерь относительно мала.

Отношение мощности Р2, потребляемой нагрузкой, к мощности P1 потребляемой первичной обмоткой трансформатора, называется коэффициентом полезного действия трансформатора:

Так как Р1 = Р2 + Ро + Рc, то коэф ф ициент полезного действия трансформатора можно записать и так:

Из выражения (3.3.16) видно, что при недогрузке трансформатора Р2 и Рo малы, а Рс, как было установлено, не зависит от нагрузки. Поэтому в этом случае КПД трансформатора низкий. При перегрузке Po значительно возрастает (так как возрастают силы токов I1 и I2), и КПД снова мал. Лишь при номинальной нагрузке (т. е. при нагрузке, на которую трансформатор рассчитан) или близкой к ней КПД наибольший. У трансформаторов большой мощности КПД достигает 98— 99%.

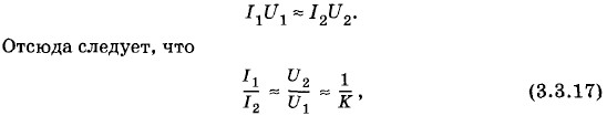
При нагрузках, близких к номинальной, потери мощности в трансформаторе малы, и приближенно можно считать, что

При таких нагрузках сдвиги фаз близки к нулю и приближенно равны между собой (cos φ1 ≈ cos φ2). Поэтому

т. е. силы токов в обмотках трансформатора приближенно обратно пропорциональны числу витков в обмотках.

Следует иметь в виду, что если соотношение оправдывается в широком диапазоне нагрузок, то соотношение удовлетворительно выполняется лишь при номинальных нагрузках.

1. Как определить число витков обмотки трансформатора, не разматывая катушки?

2. Что произойдет, если случайно подключить трансформатор к источнику постоянного тока?

3. Если в обмотке трансформатора замкнется один виток, трансформатор выходит из строя. Почему?

<<< К началу параграфа

 

 

???????@Mail.ru