Главная >> Колебания и волны. Физика 11 класс. Мякишев

Глава 3. Производство, передача, распределение и использование электрической энергии

Асинхронный электродвигатель

Вращающееся магнитное поле

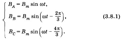
По трем обмоткам (катушкам) статора (см. рис. 3.31) проходят токи трехфазной системы, сдвинутые по фазе на 2π/3. Эти токи образуют три переменных магнитных поля. Так как в любой момент времени модуль В индукции магнитного поля пропорционален силе тока в катушке i, то изменения модуля индукции магнитного поля любой катушки происходят по тому же закону, по которому изменяется сила тока в ней.

Мгновенные значения индукций магнитных полей каждой из трех катушек в произвольный момент времени t выражаются уравнениями:

Мгновенные значения индукций магнитных полей

Векторы колеблются вдоль осей симметрии обмоток статора (рис. 3.32). (На рисунке 3.32, как и на рисунке 3.31, каждая обмотка (катушка) статора показана схематически в виде одного витка. Ротор внутри статора показан в виде круга без обмотки.)

Ротор внутри статора

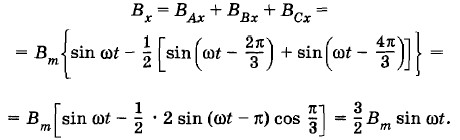
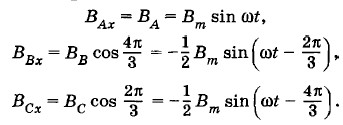
Для нахождения магнитной индукции результирующего поля проведем две взаимно перпендикулярные координатные оси Ох и Оу, направив ось Ох вдоль вектора . Найдем проекции векторов на координатную ось Ох:

Определим теперь проекцию на ось Ох вектора индукции результирующего поля:

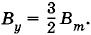
То же самое с заменой синуса на косинус имеет место для проекции Ву:

Зная проекции В1 и Ву, с помощью теоремы Пифагора найдем модуль вектора в данный момент времени t:

При t = 0 (в начальный момент) Вх = 0, а Следовательно, в начальный момент времени направление вектора индукции результирующего магнитного поля совпадало с направлением оси Оу. Поворот вектора за время t определяется углом α:

Таким образом, при прохождении трехфазного тока по обмоткам (катушкам) статора асинхронного электродвигателя модуль вектора индукции результирующего магнитного поля не изменяется и равен , где Вm — амплитуда индукции магнитного поля одной катушки. Сам же вектор В вращается в плоскости осей катушек с угловой скоростью ω.

В рассмотренном случае вектор магнитной индукции вращается по часовой стрелке (см. рис. 3.32). Но если поменять местами два любых провода, питающих электродвигатель, то магнитное поле (вектор ) будет вращаться в противоположном направлении. Это вы можете доказать самостоятельно.

В рассмотренном примере, когда обмотка статора состоит из трех катушек, повернутых друг относительно друга на 120°, вектор вращается с угловой скоростью ω, равной циклической частоте переменного тока. Одному периоду тока соответствует один оборот магнитного поля. Но если взять, например, шесть катушек, соединить их попарно последовательно и расположить в пазах статора так, как показано на рисунке 3.33, то при прохождении по ним трехфазного тока магнитное поле будет вращаться в два раза медленнее. Это можно строго доказать. Но понять его легко из следующих простых рассуждений.

Когда обмотка статора состоит из трех катушек, они занимают всю окружность статора (360°) и вектор магнитной индукции за период поворачивается на 360°. При наличии же шести катушек они сдвинуты относительно друг друга на 60°, и комплект катушек АХ, BY, CZ занимает одну половину окружности статора (180°), а другую половину занимают катушки А'Х', B'Y', C'Z'. Теперь за период вектор повернется лишь на 180°, т. е. частота вращения магнитного поля оказывается равной половине частоты тока. Если число комплектов катушек статора (в комплект входит три катушки) обозначить через р, то частота вращения поля где ν — частота тока. Таким образом, скорость вращения магнитного поля определяется числом катушек в обмотке статора, которое всегда кратно трем.

Принцип действия асинхронного электродвигателя

Вращающий момент двигателя создается силами взаимодействия вращающегося магнитного поля статора и токов, индуцируемых им в роторе.

Скорость вращения ротора электродвигателя не может достигнуть скорости вращения магнитного поля. Вращающий момент, действующий на ротор, определяется силой тока (или соответствующей ЭДС), индуцируемого в роторе. А индуцируемая в роторе ЭДС определяется скоростью вращения поля по отношению к скорости вращения ротора, который вращается в ту же сторону, что и поле. Значит, если бы ротор вращался с той же скоростью, что и поле, то он находился бы в покое относительно поля, и в нем не возникала бы ЭДС индукции. В роторе не было бы тока и не мог бы возникнуть вращающий момент. Отсюда ясно, что двигатель описываемого типа может работать только при частоте вращения ротора, несколько меньшей частоты вращения поля. Поэтому такие электродвигатели в технике принято называть асинхронными*.

    * От греческого слова synchronos — одновременный или согласованный во времени, частица «а» означает отрицание.

Во время включения двигателя, когда ротор еще неподвижен, сила тока в нем значительно больше, чем при работе электродвигателя. Двигатель развивает в момент пуска довольно значительный вращающий момент, отчего частота вращения ротора нарастает и почти сравнивается с частотой вращения поля, и сила тока в роторе быстро уменьшается.

При изменении нагрузки электродвигателя (тормозного момента на валу) изменяется и вращающий момент. Например, при увеличении нагрузки возросший тормозной момент вызывает уменьшение скорости вращения ротора. При этом возрастает относительная скорость движения проводов ротора в магнитном поле, что приводит к увеличению ЭДС и токов в роторе, и, следовательно, вращающего момента. Благодаря этому асинхронный трехфазный электродвигатель сохраняет почти постоянной частоту вращения ротора при очень широких колебаниях нагрузки. Регулировать частоту вращения ротора в принципе невозможно.

Само собой разумеется, что при возрастании нагрузки двигателя, т. е. отдаваемой им механической мощности, должен возрастать не только ток в роторе, но и ток в статоре. В соответствии с законом сохранения энергии двигатель должен получить от сети бо́льшую электрическую мощность. Здесь происходит такой же процесс, как и при работе нагруженного трансформатора (см. § 3.3). Детали этого процесса довольно сложны, и мы их рассматривать не будем.

<<< К началу параграфа

 

 

???????@Mail.ru