Главная >> Колебания и волны. Физика 11 класс. Мякишев

Глава 4. Механические волны. Звук

Ответы к упражнению 4 на тему: Механические волны. Звук

2. ν = 100 Гц, υ = 2090 м/с, λ = 20,9 м, um = 0,13 м/с.

4. s = -3,0 • 10-2 м. Знак минус означает, что точка сместилась в направлении, противоположном направлению движения вибратора в начальный момент времени.

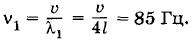
5. где k = 1, 2, 3, ... . ν = 50 Гц; 100 Гц; 150 Гц; ... .

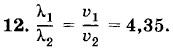
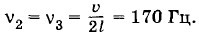
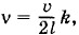
6. Частота будет минимальной при условии, если длина стоячей волны максимальна. В трубе при этом укладывается четверть или половина длины волны.

В открытой с одного конца трубе может уложиться четверть длины волны (λ1 = 4l). У закрытого конца — узел смещений частиц воздуха, а у открытого — пучность. Следовательно,

В двух других случаях в трубе укладывается половина длины волны: λ2 = λ3 = 2l. У открытой трубы на концах пучности, а у закрытой, наоборот, узлы смещений. Следовательно,

7. Силу натяжения струны надо увеличить в 4 раза.

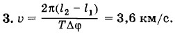
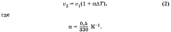
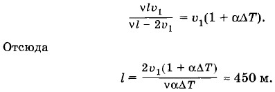
9. Р е ш е н и е. Длина волны в первом опыте где n — число длин волн, укладывающихся на расстоянии l. Во втором опыте До повышения температуры скорость звука была а после повышения температуры Так как то

Из условия задачи следует, что скорость звука изменяется с изменением температуры по линейному закону:

Сравнивая выражения (1) и (2), получим:

10. Учитывая закон преломления, получим:

11. При распространении волн частота колебаний не изменяется при переходе из одной среды в другую, поэтому υ1 = 2υ2.

13. Если расстояние между источниками меньше половины длины волны, то ни в одной точке пространства разность хода не будет равна и, следовательно, не будет полного гашения волн.

 

 

???????@Mail.ru