Главная >> Колебания и волны. Физика 11 класс. Мякишев

Глава 1. Механические колебания

§ 1.7. Скорость и ускорение при гармонических колебаниях. Превращения энергии

При гармонических колебаниях координаты тела его скорость и ускорение также меняются гармонически.

Скорость

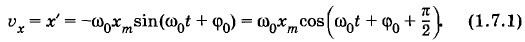
Проекция скорости на ось X есть производная координаты по времени. Если х = хm cos (ω0t + φ0), то

момент прохождения положения равновесия

Скорость при гармонических колебаниях меняется с течением времени гармонически. Амплитуда скорости равна υm = ω0хm, а по фазе колебания скорости опережают колебания координаты к на .

В момент, когда координата равна нулю (момент прохождения положения равновесия), модуль скорости максимален, и, наоборот, скорость равна нулю, когда координата максимальна по модулю (рис. 1.11, а, б; φ0 = 0).

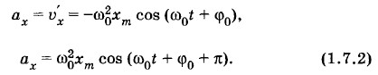
Ускорение

Проекция ускорения на ось X есть производная скорости по времени:

Ускорение при гармонических колебаниях координаты меняется гармонически. Амплитуда ускорения равна а по фазе колебания ускорения опережают колебания координаты на π.

Ускорение и координата одновременно становятся максимальными по модулю, но имеют противоположные знаки. В подобных случаях говорят, что колебания происходят в противофазе (рис. 1.11, а, в; φ0 = 0).

Относительно колебаний скорости колебания ускорения сдвинуты по фазе на , а амплитуда ускорения связана с амплитудой скорости соотношением: аm = υmω0.

Превращения энергии при гармонических колебаниях

Оттянув груз, подвешенный на пружине, вниз, мы сообщаем грузу некоторый запас потенциальной энергии. При движении груза вверх пружина сокращается и потенциальная энергия уменьшается. Но одновременно увеличивается кинетическая энергия груза. В момент прохождения телом положения равновесия потенциальная энергия становится минимальной. Кинетическая же энергия достигает максимума.

После прохождения положения равновесия скорость начинает уменьшаться. Следовательно, уменьшается и кинетическая энергия. Потенциальная энергия снова растет. В самой верхней точке она достигает максимума, а кинетическая энергия становится равной нулю. Таким образом, при колебаниях периодически происходит переход потенциальной энергии в кинетическую и обратно. Частота колебаний потенциальной и кинетической энергий в два раза больше частоты колебаний тела.

Такие же изменения кинетической и потенциальной энергий происходят при колебаниях маятника.

Полная механическая энергия при колебаниях груза на пружине равна сумме кинетической и потенциальной энергий:

Кинетическая и потенциальная энергии периодически изменяются, но полная механическая энергия в системе без трения согласно закону сохранения энергии остается неизменной. Она равна либо потенциальной энергии в момент максимального отклонения от положения равновесия, либо кинетической энергии в момент, когда тело проходит положение равновесия. Докажем это.

Подставим в формулу (1.7.3) выражения для υx и х:

Заменив в первом члене уравнения (1.7.4) его значением получим:

Если же во второй член уравнения (1.7.4) подставить и учесть, что (ω0хm = υm, то будем иметь:

 

 

???????@Mail.ru