Главная >> Физика 8 класс. Генденштейн

§ 9. Закон сохранения электрического заряда. Элементарный электрический заряд

Закон сохранения электрического заряда. Элементарный электрический заряд: Что мы узнали. Вопросы и задания

Что мы узнали

  • Закон сохранения электрического заряда: в электрически изолированной системе тел алгебраическая сумма зарядов тел остаётся неизменной.
  • Единица электрического заряда — кулон (Кл).
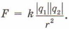
  • Закон Кулона: неподвижные точечные заряды действуют друг на друга силами, прямо пропорциональными модулям зарядов и обратно пропорциональными квадрату расстояния между ними. Модуль каждой силы Здесь k = 9 • 109 Н • м2/Кл2.
  • Элементарный электрический заряд е = 1,6 • 10-19 Кл. Он равен модулю заряда электрона.

    Вопросы и задания

    Первый уровень

    1. Опишите устройство и принцип действия электрометра.

    2. Электризуются ли при трении оба тела или только одно? Опишите опыт, подтверждающий ваш ответ.

    3. Сравните заряды двух тел при электризации трением: что у них общего и чем они различаются?

    4. Расскажите о законе сохранения электрического заряда. При каком условии этот закон выполняется?

    5. Как называют единицу заряда в СИ? Приведите пример, показывающий, насколько велик заряд, значение которого равно этой единице заряда.

    Второй уровень

    6. Расскажите о законе Кулона. Какой формулой выражается этот закон?

    7. Два одинаковых металлических шарика с зарядами q и -3q расположены на расстоянии, намного превышающем их диаметр. Шарики привели в соприкосновение, после чего вернули в прежнее положение. Во сколько раз изменилась сила взаимодействия между шариками? Изменился ли характер этого взаимодействия?

    8. Расскажите о том, что такое элементарный электрический заряд? Заряду какой частицы он равен по модулю?

    9. С одной нейтральной капельки воды перенесли миллиард электронов на другую нейтральную капельку, в результате чего капельки стали притягиваться с некоторой силой. Сколько ещё электронов надо перенести с первой капельки на вторую, чтобы сила притяжения увеличилась в 4 раза?

    10. Составьте задачу по теме «Закон Кулона», ответом которой было бы «Уменьшилась в 25 раз».

     

  •  

    ???????@Mail.ru