Главная >> Физика 8 класс. Генденштейн

§ 12. Сила тока и напряжение

Сила тока

Когда по проводнику течёт электрический ток, заряженные частицы ежесекундно переносят электрический заряд через любое поперечное сечение проводника.

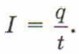
Физическую величину I, равную отношению электрического заряда q, перенесённого через поперечное сечение проводника за промежуток времени t, к этому промежутку времени, называют силой тока:

    Сила тока

Чем больше сила тока I, тем больше заряд q, который за данный промежуток времени t проходит через поперечное сечение проводника: q = It.

Единица силы тока

Для определения единицы силы тока используют магнитное взаимодействие проводников с токами. Это взаимодействие открыл французский физик А. Ампер, поэтому единицу силы тока в СИ назвали ампер (А). Мы расскажем об этом в §18. Магнитные взаимодействия.

Используют также единицы тока миллиампер (1 мА = 0,001 А), микроампер (1 мкА = 0,000001 А) и килоампер (1 кА = 1000 А).

Если сила тока в проводнике равна 1 А, то через поперечное сечение проводника ежесекундно переносится заряд, равный 1 Кл. Из формул и q = It следует, что

    сила тока в проводнике

    Какова сила тока в проводнике, если через поперечное сечение проводника за 3 с прошёл заряд 15 Кл?

    Какой заряд проходит по проводнику за 10 с, если сила тока равна 5 А?

Окончание >>>

 

 

???????@Mail.ru