Главная >> Физика 8 класс. Генденштейн

§ 15. Работа и мощность электрического тока

Мощность тока

Из курса физики 7-го класса вы уже знаете, что

мощностью Р называют физическую величину, равную отношению работы А к промежутку времени t, в течение которого эта работа совершена:

    мощностью

Найдём мощность тока на участке цепи.

Мы уже знаем, что работа тока на участке цепи А = UIt, где U — напряжение на данном участке цепи, I — сила тока в этом участке цепи. Следовательно, Итак,

    Р = UI.

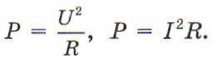
Согласно закону Ома где R — сопротивление участка цепи. Поэтому из формулы Р = UI следуют ещё две формулы для мощности тока:

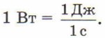
Напомним, что единицей мощности является Из формулы Р = UI следует, что

    1 Вт = 1 В • 1 А.

Широко используют также единицу мощности 1 кВт = 1000 Вт.

Каждый электрический прибор имеет определённую мощность (её указывают на приборе). Ниже приведены примерные значения мощности некоторых приборов.

РЕШИМ ЗАДАЧУ

В электрочайник наливают 2 л воды при температуре 20 °С. Вода закипает через 6 мин. Какова мощность электрочайника? Чему равно его сопротивление? Напряжение в розетке 220 В. Будем считать, что теплопередачей от чайника окружающей среде за время закипания воды можно пренебречь.

    РЕШИМ ЗАДАЧУ

 

 

???????@Mail.ru