Главная >> Алгебра 7 класс. Макарычев. ГДЗ

Глава 2. Функции

Вычисление значений функции по формуле

Функции, которые мы рассматривали в предыдущем пункте, задавались различными способами. Наиболее распространённым способом является задание функции с помощью формулы. Формула позволяет для любого значения аргумента находить соответствующее значение функции путём вычислений.

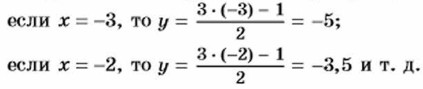
Пример 1. Пусть функция задана формулой

Найдём значения у, соответствующие целым значениям х:

Результаты вычислений удобно записать в виде таблицы, поместив в верхней строке значения аргумента, а в нижней строке соответствующие значения функции:

Мы выбирали каждый раз значение х на 1 больше предыдущего. Говорят, что мы составили таблицу значений функции с шагом 1.

В рассмотренном примере была указана область определения функции.

Если функция задана формулой и область определения функции не указана, то считают, что область определения состоит из всех значений независимой переменной, при которых эта формула имеет смысл.

Например, область определения функции, заданной формулой у = х(х + 5), состоит из всех чисел, а область определения функции, заданной формулой состоит из всех чисел, кроме числа 2.

С помощью формулы, задающей функцию, решают также задачу отыскания значений аргумента, которым соответствует данное значение функции.

Пример 2. Функция задана формулой у = 12х - 3,6. Найдём, при каком значении х значение функции равно 2,4.

Подставим в формулу у = 12х - 3,6 вместо у число 2,4. Получим уравнение с переменной х:

    2,4 = 12х - 3,6.

Решив его, найдём, что х = 0,5.

Значит, у = 2,4 при х = 0,5.

Заметим, что мы смогли решить эту задачу, так как она свелась к уравнению, способ решения которого нам известен.


ГОТФРИД ВИЛЬГЕЛЬМ ЛЕЙБНИЦ (1646-1716) — немецкий философ, математик, физик и языковед. Он и английский учёный И. Ньютон создали (независимо друг от друга) основы важного раздела математики — математического анализа. Лейбниц ввёл многие понятия и символы, употребляемые в математике и сейчас, в частности им введён термин «функция».


Окончание >>>

 

 

???????@Mail.ru