Главная >> Алгебра 7 класс. Макарычев. ГДЗ

Глава 2. Функции

Вычисление значений функции по формуле (окончание)

Упражнения

267. Функция задана формулой у = 2х + 7. Найдите значение функции, соответствующее значению аргумента, равному 1; —20; 43.

268. Функция задана формулой у = 0,1x + 5. Для значения аргумента, равного 10; 50; 120, найдите соответствующее значение функции.

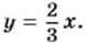
269. Функция задана формулой В таблице указаны некоторые значения аргумента. Заполните таблицу, вычислив соответствующие значения функции:

270. Функция задана формулой у = х2 - 9. Заполните таблицу:

271. Составьте таблицу значений функции, заданной формулой у = х(х- 3,5), где 0 ≤ х ≤ 4, с шагом 0,5.

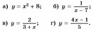
272. Найдите область определения функции, заданной формулой:

273. Формула у = -5х + 6 задаёт некоторую функцию. При каком значении аргумента значение функции равно 6? 8? 100?

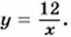
274. Функция задана формулой Заполните пустые клетки таблицы:

275. Функция задана формулой у = 0,3х - 6. Найдите значение аргумента, при котором значение функции равно -6; -3; 0.

276. Задайте формулой зависимость массы куска пробки от его объёма, если известно, что плотность пробки равна 0,18 г/см3. Найдите по формуле:

    а) массу куска пробки, объём которого равен 240 см3;

    б) объём куска пробки, масса которого равна 64,8 г.

277. Двигаясь со скоростью υ км/ч в течение 6 ч, автомобиль прошёл путь s км. Задайте формулой зависимость s от υ. Пользуясь этой формулой:

    а) найдите s, если υ = 65;

    б) найдите υ, если s = 363.

278. С турбазы на станцию, удалённую на расстояние 60 км, отправился велосипедист со скоростью 12 км/ч. Задайте формулой зависимость переменной s от переменной t, где s — расстояние велосипедиста до станции (в километрах), a t — время его движения (в часах). Найдите но формуле:

    а) 8, если t = 3,5; б) t, если s = 30.

279. У мальчика было 80 р. Он купил x карандашей но 10 р. за штуку. Обозначив число рублей, оставшихся у мальчика, буквой у, задайте формулой зависимость у от х. Какова область определения этой функции?

Упражнения для повторения

280. Для сельской библиотеки ученики шестых и седьмых классов собрали 315 книг. Сколько книг собрали семиклассники, если известно, что они собрали на 10% книг больше, чем шестиклассники?

281. Отметьте в координатной плоскости точки М(0; -4) и N(6; 2) и соедините их отрезком. Найдите координаты точки пересечения этого отрезка с осью х.

282. Отметьте в координатной плоскости точки A(-2; -3) и B(4; 5) и соедините их отрезком. Найдите координаты середины отрезка АВ.

<<< К началу      Решенния >>>

 

 

???????@Mail.ru