Главная >> Домашние работы к учебнику Макарычева. Алгебра 7 класс

Решенния упражнений

Разложение разности квадратов на множители

883. а) х2 - у2 = (х - у)(х + у); б) c2 - z2 = (c - z)(c + z); в) а2 - 25 = (а - 5)(а + 5); г) m2 - 1 = (m - 1)(m +1); д) 16 - b2 = (4 - b)(4 + b); е) 100 - х2 = (10 - х)(10 + х); ж) р2 - 400 = (р - 20)(р + 20); з) у2 - 0,09 = (у - 0,3)(у + 0,3); и) 1,44 - а2 = (1,2 - а)(1,2 + а);

884. а) 25х2 - у2 = (5х - у)(5х + у); б) -m2 + 16n2 = (4n - m)(4n + m); в) 36а2 - 49 = (6а - 7)(6а + 7); г) 64 - 25х2 = (8 - 5х)(8 + 5х); д) 9m2 - 16n2 = (3m - 4n)(3m + 4n); е) 64р2 - 81q2 = (8р - 9q)(8p + 9q); ж) -49а2 + 16b2 = (4b - 7а)(4b + 7а); з) 0.01n2 - 4m2 = (0,1n - 2m)(0,1n + 2m); и) 9 - b2с2 = (3 - bс)(3 + 6с); к) 4а2b2 - 1 = (2аb - 1)(2аb + 1); л) р2 - а2b2 = (р - ab)(p + аb); м) 16с2d2 - 9а2 = (4cd - 3а)(4cd + 3а).

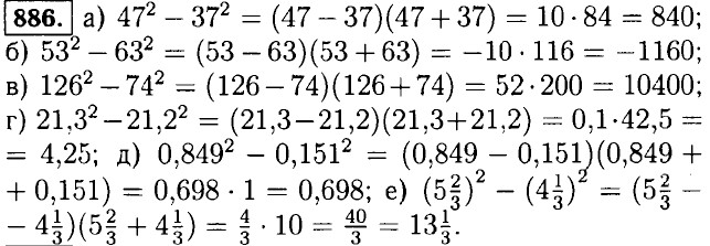
885. а) х2 - 64 = (х - 8)(х + 8); б) 0,16 - с2 = (0,4 - с)(0,4 + с); в) 121 - m2 = (11 - m)(11 + m); г) -81 + 25у2 = (5у - 9)(5у + 9); д) 144b2 - с2 = (12b - с)(12b + с); е) 0,64х2 - 0,49у2 = (0,8х - 0,7у)(0,8х - 0, 7у); ж) х2у2 - 0,25 = (ху - 0,5)(ху + 0,5); з) c2d2 - а2 = (cd - a)(cd + а); и) а2х2 - 4у2 = (ах — 2у)(ах + 2у).

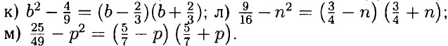
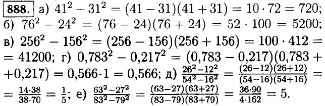
889. а) х4 - 9 = (х2 - 3)(х2 + 3); б) 25 - n6 = (5 - n3)(5 + n3); в) m8 - а2 = (m4 - а)(m4 - а); г) у2 - р4 = (у - р2)(у + р2); д) c6 - d6 = (с3 - d3)(c3 + d3); е) х6 - а4 = (х3 - а2)(х3 + а2); ж) b4 - у10 = (b2 - у5)(b2 - у5); з) m8 - n6 = (m4 - n3)(m4 + n3); и) а4 - b4 = (а2 - b2)(а2 + b2); к) с8 - d8 = (с4 - d4)(c4 + d4); л) а4 -16 = (а2 - 4)(а2 + 4); м) 81 - b4 = (9 - b2)(9 + b2).

890. а) х2 - 16 = 0 ⇒ (х - 4) (х + 4) = 0 =+ х = 4 или х = -4;

б) у2 - 81 = 0 ⇒ (у - 9)(у + 9) = 0 ⇒ у = 9 или у = -9;

в) - х2 = 0 ⇒ ( - х) ( + х) = 0 ⇒ х = или х =

г) а2 - 0,25 = 0 ⇒ (а - 0,5)(а + 0,5) = 0 ⇒ а = 0,5 или а = -0,5;

д) b2 + 36 = 0 ⇒ b2 = -36 — не имеет решений;

е) х2 - 1 = 0 ⇒ (х - 1)(х + 1) = 0 ⇒ x = 1 или х = -1;

ж) 4х2 - 9 = 0 ⇒ (2х - 3)(2х + 3) = 0 ⇒ х = 1,5 или х = -1,5;

з) 25х2 - 16 = 0 ⇒ (5х - 4)(5х + 4) = 0 ⇒ х = 0,8 или х = -0,8;

и) 81х2 + 4 = 0 ⇒ х2 = — не имеет решений.

891. а) m2 - 25 = 0 ⇒ (m - 5)(m + 5) = 0 ⇒ m = 5 или m = -5;

б) х2 - 36 = 0 ⇒ (х - 6)(х + 6) = 0 ⇒ х = 6 или х = -6;

в) 9х2 - 4 = 0 ⇒ (3х - 2)(3х + 2) = 0 ⇒ х = или х =

г) 16х2 - 49 = 0 (4х - 7)(4х + 7) = 0 ⇒ х = = ±1,75.

<<< К началу   Решенния (окончание) >>>

 

 

???????@Mail.ru