Главная >> Домашние работы к учебнику Макарычева. Алгебра 7 класс

Домашние работы

Разложение разности квадратов на множители (окончание)

892. а) с6 - 9x4 = (с3 - 3х2)(с3 + 3х2); б) 100у2 - a8 = (10y - а4)(10y + а4); в) 4х4 - 25b2 = (2х2 - 5b)(2х2 + 5b); г) а4b4 - 1 = (а2b2 - 1)(а2b2 + 1); д) 0,36 - х4у4) = (0,6 - х2y2)(0,6 + х2р2); е) 4а2 - b6с2 = (2а - b3с)(2а + b3с); ж) 16m2р2 - 9n4 = (4mn - 3n2)(4mn + 3n2); з) 9х8y2 - 100z2 - (3х4у - 10z)(3х4у + 10z); и) 0,81р6m4 - 0,01х2 = (0,9р3m2 — 0,1х)(0,9р3m2 + 0,1х).

893. а) 64 - у4 = (8 - у2)(8 + у2); б) х2 - с6 = (х - с3)(х + с3); в) а4 - b8 = (а2 - b4)(а2 + b4); г) 25m6 - n2 - (5m3 - а) (5m3 + n); д) 1 - 49р10 = (1 - 7р5)(1 + 7р5); е) 4y6 - 9а4 = (2у3 - 3а2)(2y3 - 3а2); ж) 64 - а4b4 = (8 - а2b2)(8 + а2b2); з) 16b2с12 - 0,25 = (4bс6 - 0,5)(4bс6 + 0,5); и) 81х6y2 - 0,36а2 = (9х3р - 0,6а)(9х3y + 0,6а).

894. а) (х + 3)2 - 1 = (х + 3 - 1)(x + 3 + 1) = (х + 2)(х + 4); б) 64 - (b + 1)2 = (8 - b - 1)(8 + b + 1) = (7 - b)(b + 9); в) (4а - 3)2 - 16 = (4а - 3 - 4)(4а - 3 + 4) = (4а - 7)(4а + 1); г) 25 - (а + 7)2 = (5 - а - 7)(5 + а + 7) = (-а - 2)(а + 12); д) (5y - 6)2 - 81 - (5y - 6 - 81)(5р - 6 + 81) = (5y - 87)(5y + 75); е) 1 -(2х - 1)2 = (1 - 2х + 1)(1 + 2х - 1) = (2 - 2х) • 2х.

895. a) 9р2 - (1 + 2р)2 = (3у - 1 - 2у)(3у + 1 + 2у) = (у - 1)(5y + 1); б) (3с - 5)2 - 16с2 = (3с - 5 - 4с)(3с - 5 + 4с) = (-с - 5)(7с - 5); в) 49х2 - (у + 8х)2 = (7х - у - 8х)(7х + у + 8х) = (-х - y)(15х + y); г) (5а - 3b)2 - 25а2 = (5а - 3b - 5а)(5а - 3b + 5а) = (-3b)(10а - 3b); д) (-2а2 + 3b)2 - 4а4 = (-2а2 + 3b - 2а2)(-2а2 + 3b + 2а2) = (-4а2 + 3b) • 3b; е) b6 - (х - 4b3) = (b3 - х + 4b3)(b3 + х - 4b3) = (5b3 - х)(х - 3b3).

896. а) (2b - 5)2 - 36 = (2b - 5 - 6)(2b - 5 + 6) = (2b - 11)(2b + 1); б) 9 - (7 + 3а)2 = (3 - 7 - 3а)(3 + 7 + 3а) - (-4 - 3а)(10 + 3а); в) (4 - 11m)2 - 1 = (4 - 11m - 1)(4 - 11m + 1) = (3 - 11m)(5 - 11m); г) р2 - (2р + 1)2 = (р - 2р - 1)(p + 2р + 1) = (-р - 1)(3р + 1); д) (5с - 3d)2 - 9d2 = (5с - 3d - 3d)(5c - 3d + 3d) - (5с - 6d) • 5с; е) а4 - (9b + а2)2 = (а2 - 9b - а2)(а2 + 9b + а2) = 9b • (2а2 + 9b).

897. а) (2х + у)2 - (х - 2у)2 = (2х + у - х + 2у)(2х + у + х - 2у) = (х + 3у)(3х - у); б) (а + b)2 - (b + с)2 = = (а + b - b - с) (а + b + b +с) - (а - с) (а + 2b + с); в) (m + n)2 - (m - n)2 = (m + n - m + n)(m + n + m - n) = 2n • 2m; г) (4с - х)2 - (2с + 3х)2 = (4с - х - 2с - 3х)(4с - х + 2с + 3х) = (2с - 4х)(6с + 2х).

898. а) (4n + 5)2 - 9 = 16n2 + 40n + 25 - 9 = 16n2 +• 40n + 16 = 4 • (4n2 + 10n + 4); б) (n + 7)2 = (n + 7 - n)(n + 7 + n) = 7 • (2n + 7).

899. Пусть ширина прямоугольника равняется х, тогда длинна х + 5 и периметр прямоугольника 2 • (х + х + 5) = 4х + 10. Значит (х + 5)22 = 95 ⇒ (х + 5 - х)(х + 5 + х) = 95 ⇒ 5 • (2х + 5) = 95 ⇒ 2х + + 5 = 19 =+ 2 • (2х + 5) = 4х + 10 = 38 см2. Ответ: 38 см2.

900. 1) 52 - 1 = 25 - 1 = 24 = 12 • 2. 2) р2 - 1 = (р - 1)(р + 1), так как р простое число больше 3. р не чётное, тогда р - 1 и р + 1 чётные. Значит произведение (р - 1)(р + 1). 3) Среди трёх последовательных чисел точно одно делится на 3. р — простое, и как следствие не кратно 3. Значит р + 1 или р - 1 кратно 3. 4) р2 - 1 всегда кратно 12 если р простое число больше трёх.

901. a) 27a3 = 33 • a3 = (3a)3; 6) -8m3 = -23 • m3 = (-2m)3; в) 8b6 = 23 • b6 = (2b2)3; г) -64p6 = -43 • p6 = (-4р2)3; д) -27a3x6 = -33 • а3 • х6 = (-3аx2)3; e) 64a6x9 = 43 • a6 • x9 = (4a2x3)3.

903. а) (5х - 1)(2х + 1) - 10х2 = 0,8 ⇒ 10х2 + 5х - 2х - 1 - 10х2 = 0,8 ⇒ 3х = 1,8 ⇒ х = 0,6; б) 18х2 - (9х + 2)(2х - 1) = 1 ⇒ 18х2 - 18х2 + 9х - 4х + 2 = 1 ⇒ 5х = -1 ⇒ х = -0,2.

904. Пусть поезд отправится через t часов, a S путь до железнодорожной станции. Имеем S1 = 4 • (t + 0,5) и S2 = 5 • (t - 0,1), т. к. S1 = S2, то 4 • (t + 0,5) = 5 • (t - 0,1) ⇒ 4t + 2 = 5t - 0,5 ⇒ t = 2,5 ⇒ S = 4 • (t + 0,5) = 4 • 3 = 12 км. Ответ: 12 км.

<<< К началу

 

 

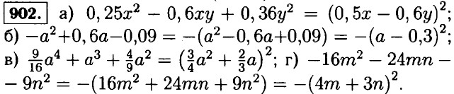
???????@Mail.ru