Главная >> Решенния упражнений к учебнику Макарычева. Алгебра 7 класс

Домашние работы

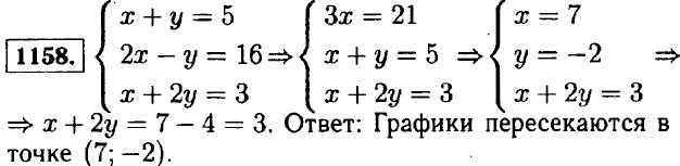
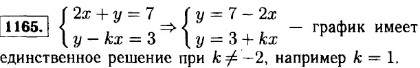
Дополнительные упражнения к параграфу 15 (окончание)

1155. Данный график (х + 2)(у + 3) =0 пересекает ось х при у = 0, значит x + 2 = 0 ⇒ x = -2. Координата точки пересечения с осью х - (-2; 0). Данный график пересекает ось у при х = 0, значит у + 3 = 0 ⇒ у = -3. Координата точки пересечения с осью у - (0; -3);

1164. а) х + у = 1; б) 20х + 10у = 2; в) 10х + 5у = 4.

<<< К началу

 

 

???????@Mail.ru